🇳🇴 🇬🇧 🇩🇪 🇨🇿 🇫🇮

Meteor über Hatteng 2023-12-31 17:05:59 UTC

KML-Datei  |  Interaktive Karte

Die Karte zeigt die Peilungen für den Meteor. Die helleren Linien zeigen die Richtungen von den Beobachtungsorten beim Erscheinen des Meteors, und die dunkleren Linien, wo er zuletzt gesehen wurde. Der blaue Pfeil zeigt die sichtbare Bahn des Meteors.

static map
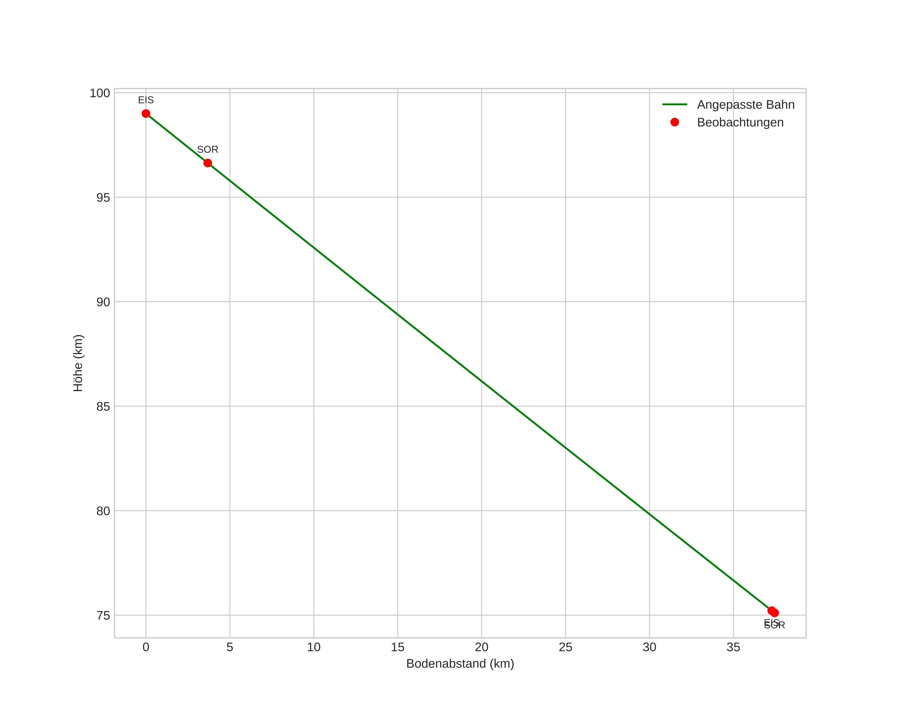
height profile
Atmosphärische Bahn des Meteors:
Anfangshöhe: 105,0 km
Endhöhe: 75,1 km
Startposition: 69,664N 19,609E
Endposition: 69,297N 20,135E
Richtung: 153,1°
Neigungswinkel: 33,2°
Eintrittsgeschwindigkeit: 40,8 km/s
Rektaszension des Radianten: 15:29 (232,3°)
Deklination des Radianten: 49,5°
Meteorstrom: Quadrantiden
Bahnelemente des Meteoroiden:
Periheldistanz: 0,969 AU
Exzentrizität: 0,627
Inklination: 68,8°
Länge des aufsteigenden Knotens: 279,4°
Argument des Perihels: 164,5°
Mittlere Anomalie: 2,8°
Epoche: 2023 DEC 31 17:05:59
orbit plot

Nicht-interaktives Diagramm | Interaktives Diagramm

position vs time
speed and acceleration