🇳🇴 🇬🇧 🇩🇪 🇨🇿 🇫🇮

Meteor Hattengin yllä 2023-12-31 17:05:59 UTC

KML-tiedosto  |  Interaktiivinen kartta

Kartta näyttää meteorin suuntahavainnot. Vaaleammat viivat näyttävät suunnat havaintoasemilta meteorin ilmestyessä, ja tummemmat viivat näyttävät, missä se viimeksi nähtiin. Sininen nuoli näyttää meteorin näkyvän lennon.

static map
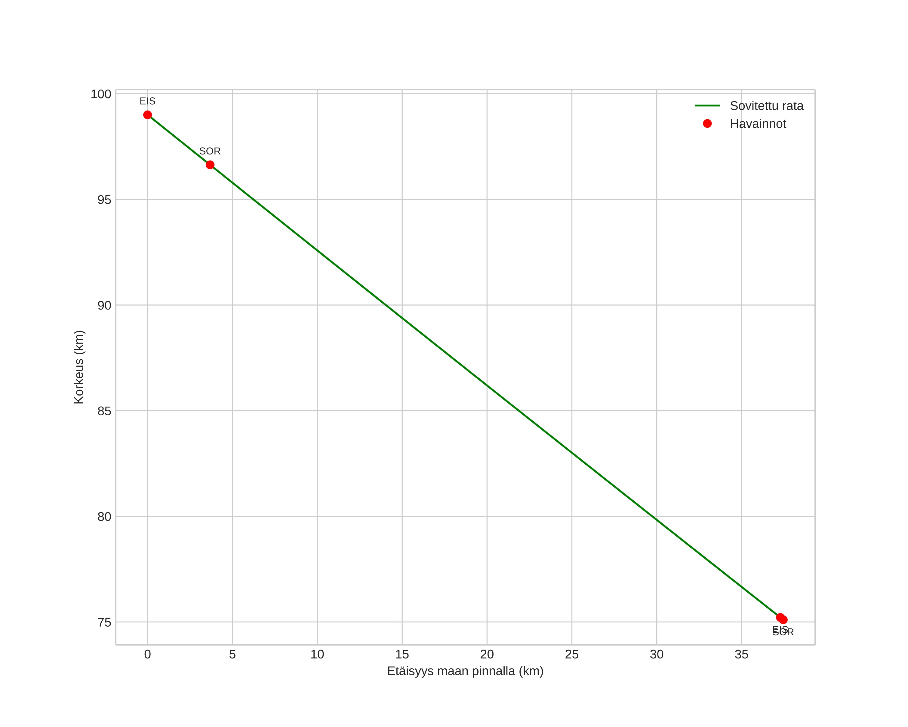
height profile
Meteorin ilmakehärata:
Alkukorkeus: 105,0 km
Loppukorkeus: 75,1 km
Alkupiste: 69,664N 19,609E
Loppupiste: 69,297N 20,135E
Suunta: 153,1°
Kallistuskulma: 33,2°
Tulonopeus: 40,8 km/s
Radiantin R,A,: 15:29 (232,3°)
Radiantin Dekl,: 49,5°
Meteoriparvi: Kvadrantidit
Meteoroidin rataelementit:
Perihelietäisyys: 0,969 AU
Eksentrisyys: 0,627
Inklinaatio: 68,8°
Nousevan solmun pituus: 279,4°
Perihelin argumentti: 164,5°
Keskianomalia: 2,8°
Epookki: 2023 DEC 31 17:05:59
orbit plot

Ei-interaktiivinen kuvaaja | Interaktiivinen kuvaaja

position vs time
speed and acceleration