🇳🇴 🇬🇧 🇩🇪 🇨🇿 🇫🇮

Meteor, poloha: Malung 2024-01-04 16:12:22 UTC

Soubor KML  |  InteraktivnĂ­ mapa

Mapa zobrazuje dráhy meteoru. Světlejší čáry ukazují směry od pozorovacích stanic při objevení se meteoru a tmavší čáry, kde byl naposledy viděn. Modrá šipka značí viditelnou dráhu meteoru.

static map
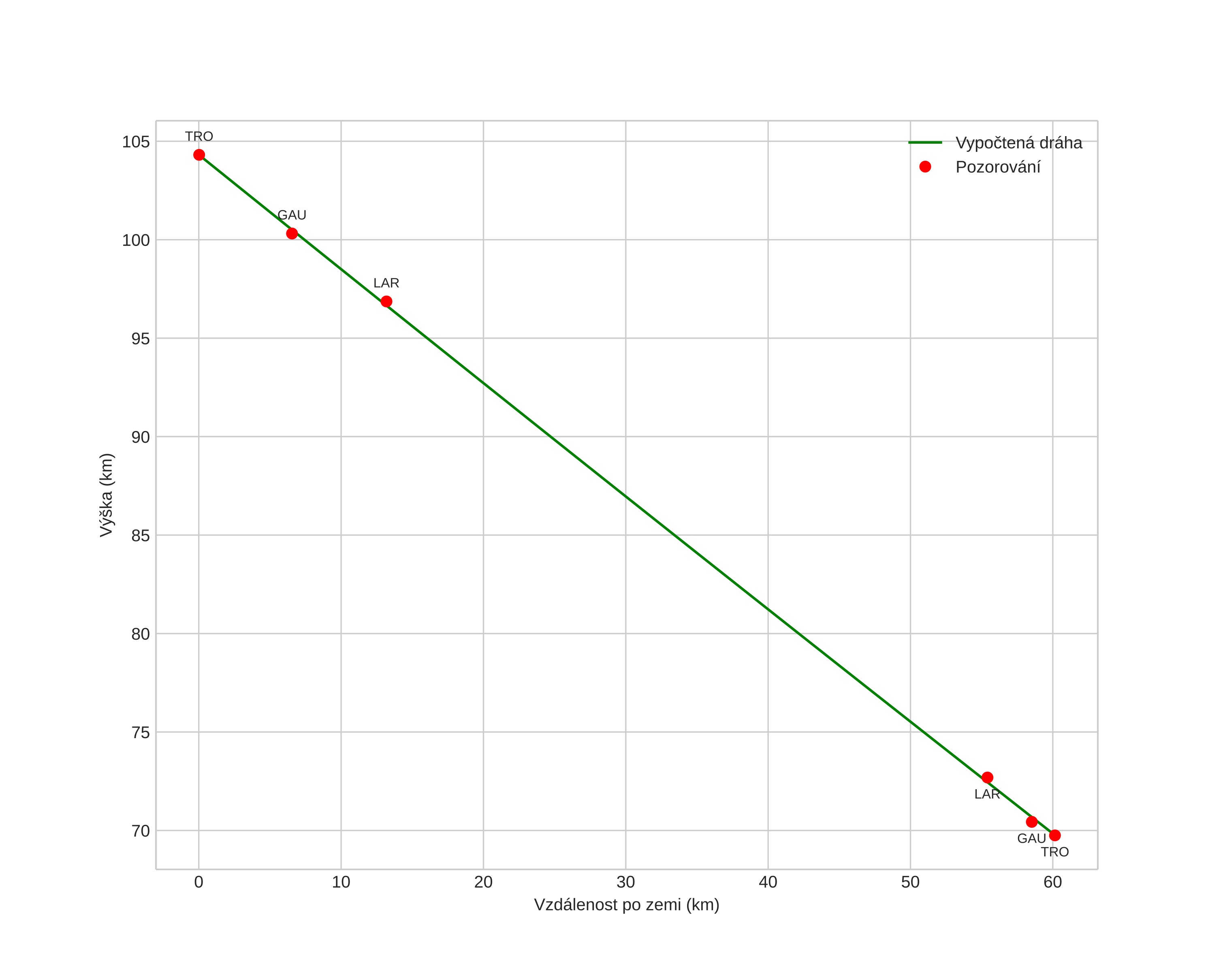
height profile
Atmosférická dráha meteoru:
Počáteční výška: 99,1 km
Konečná výška: 68,5 km
Počáteční poloha: 61,500N 12,603E
Konečná poloha: 61,111N 13,164E
Směr: 145,0°
Sklon: 30,2°
VstupnĂ­ rychlost: 41,1 km/s
Rektascenze radiantu: 15:24 (231,1°)
Deklinace radiantu: 50,0°
MeteorickĂ˝ roj: Kvadrantidy
Elementy dráhy meteoroidu:
Vzdálenost v periheliu: 0,979 AU
Excentricita: 0,625
Sklon dráhy: 69,6°
Délka vzestupného uzlu: 283,5°
Argument perihelia: 171,3°
Střední anomálie: 1,6°
Epocha: 2024 JAN 04 16:12:22
orbit plot

NeinteraktivnĂ­ graf | InteraktivnĂ­ graf

position vs time
speed and acceleration