🇳🇴 🇬🇧 🇩🇪 🇨🇿 🇫🇮

Meteor über Malung 2024-01-04 16:12:22 UTC

KML-Datei  |  Interaktive Karte

Die Karte zeigt die Peilungen für den Meteor. Die helleren Linien zeigen die Richtungen von den Beobachtungsorten beim Erscheinen des Meteors, und die dunkleren Linien, wo er zuletzt gesehen wurde. Der blaue Pfeil zeigt die sichtbare Bahn des Meteors.

static map
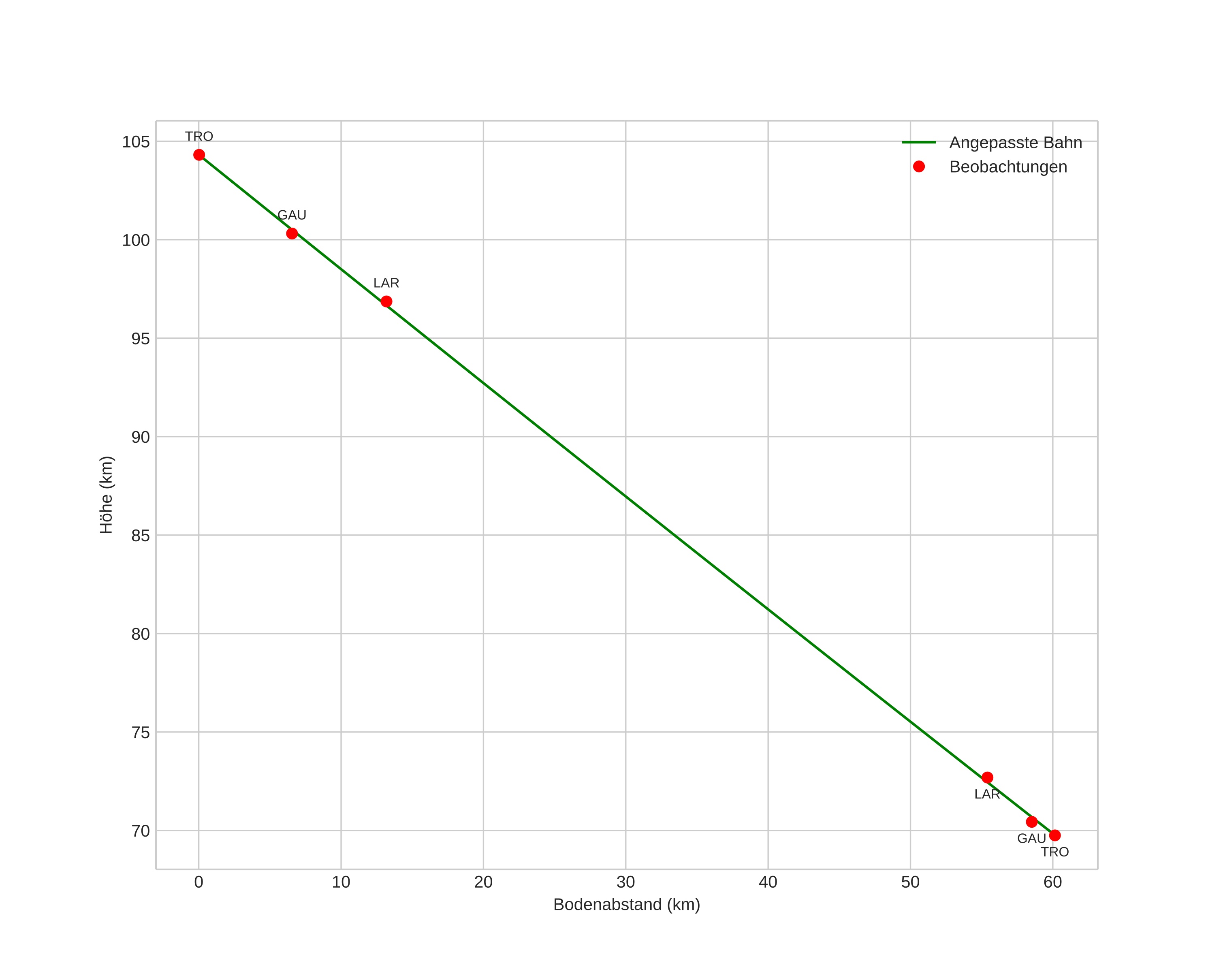
height profile
Atmosphärische Bahn des Meteors:
Anfangshöhe: 99,1 km
Endhöhe: 68,5 km
Startposition: 61,500N 12,603E
Endposition: 61,111N 13,164E
Richtung: 145,0°
Neigungswinkel: 30,2°
Eintrittsgeschwindigkeit: 41,1 km/s
Rektaszension des Radianten: 15:24 (231,1°)
Deklination des Radianten: 50,0°
Meteorstrom: Quadrantiden
Bahnelemente des Meteoroiden:
Periheldistanz: 0,979 AU
Exzentrizität: 0,625
Inklination: 69,6°
Länge des aufsteigenden Knotens: 283,5°
Argument des Perihels: 171,3°
Mittlere Anomalie: 1,6°
Epoche: 2024 JAN 04 16:12:22
orbit plot

Nicht-interaktives Diagramm | Interaktives Diagramm

position vs time
speed and acceleration