🇳🇴 🇬🇧 🇩🇪 🇨🇿 🇫🇮

Meteor Malungin yllä 2024-01-04 16:12:22 UTC

KML-tiedosto  |  Interaktiivinen kartta

Kartta näyttää meteorin suuntahavainnot. Vaaleammat viivat näyttävät suunnat havaintoasemilta meteorin ilmestyessä, ja tummemmat viivat näyttävät, missä se viimeksi nähtiin. Sininen nuoli näyttää meteorin näkyvän lennon.

static map
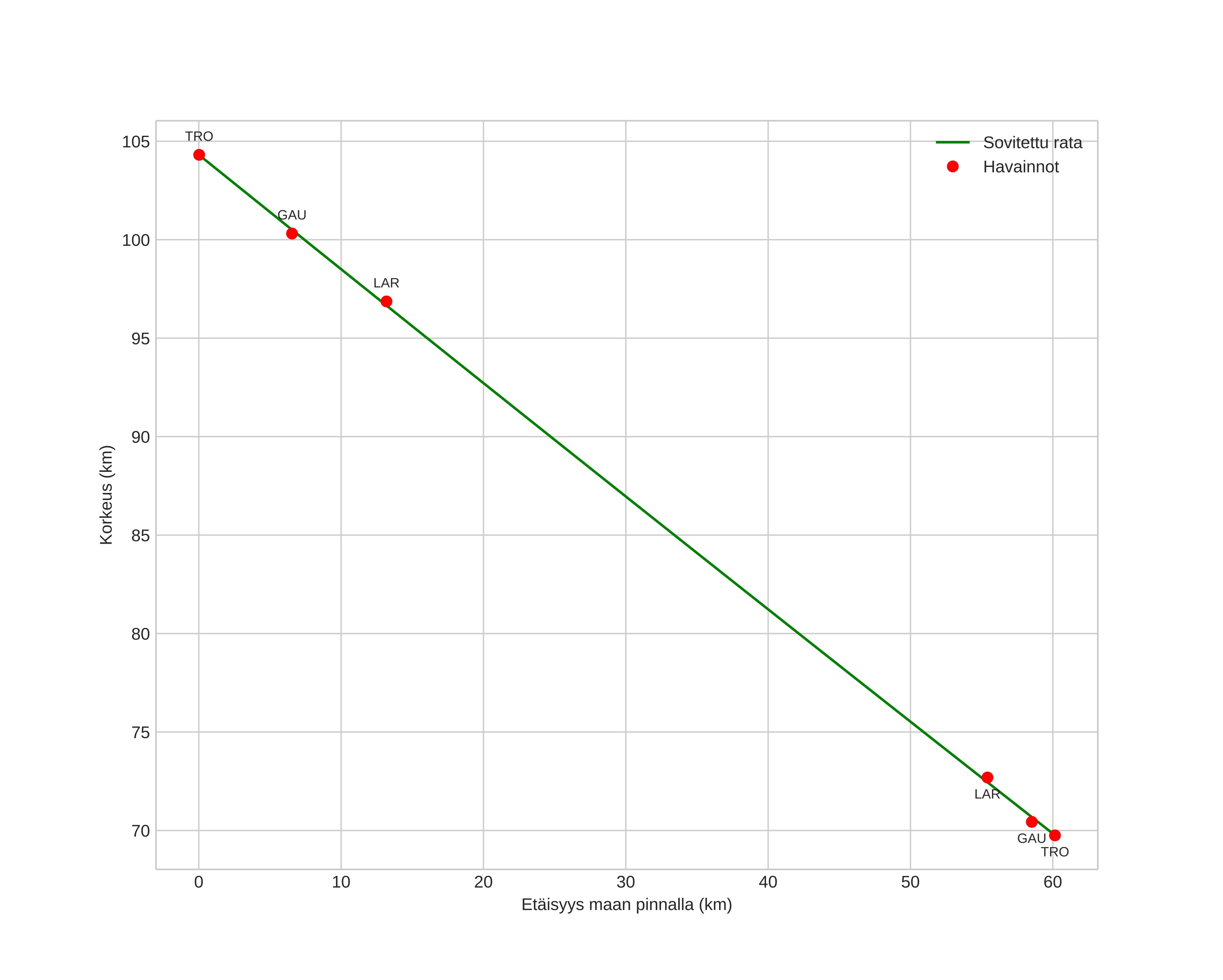
height profile
Meteorin ilmakehärata:
Alkukorkeus: 99,1 km
Loppukorkeus: 68,5 km
Alkupiste: 61,500N 12,603E
Loppupiste: 61,111N 13,164E
Suunta: 145,0°
Kallistuskulma: 30,2°
Tulonopeus: 41,1 km/s
Radiantin R,A,: 15:24 (231,1°)
Radiantin Dekl,: 50,0°
Meteoriparvi: Kvadrantidit
Meteoroidin rataelementit:
Perihelietäisyys: 0,979 AU
Eksentrisyys: 0,625
Inklinaatio: 69,6°
Nousevan solmun pituus: 283,5°
Perihelin argumentti: 171,3°
Keskianomalia: 1,6°
Epookki: 2024 JAN 04 16:12:22
orbit plot

Ei-interaktiivinen kuvaaja | Interaktiivinen kuvaaja

position vs time
speed and acceleration