🇳🇴 🇬🇧 🇩🇪 🇨🇿 🇫🇮

Meteor, poloha: Finnsnes 2024-01-24 20:03:41 UTC

Skibotn – 3
Skibotn – 3
Sørreisa – 3
Sørreisa – 3
Sørreisa – 4
Sørreisa – 4

Soubor KML  | Interaktivní mapa

map

Mapa zobrazuje dráhy meteoru. Světlejší čáry ukazují směry od pozorovacích stanic při objevení se meteoru a tmavší čáry, kde byl naposledy viděn. Modrá šipka značí viditelnou dráhu meteoru.

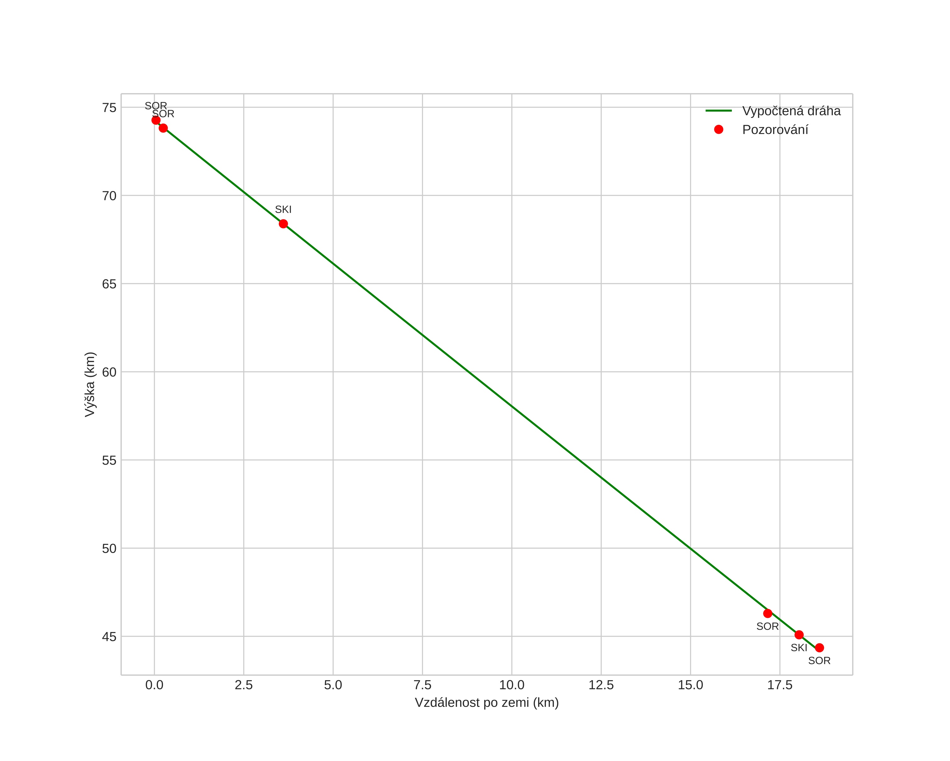
height profile
Atmosférická dráha meteoru:
Počáteční výška: 74,8 km
Konečná výška: 44,2 km
Počáteční poloha: 69,288N 17,713E
Konečná poloha: 69,365N 18,145E
Směr: 63,0°
Sklon: 58,2°
Vstupní rychlost: 14,2 km/s
Rektascenze radiantu: 02:20 (35,1°)
Deklinace radiantu: 37,9°
Meteorický roj: sporadický
Elementy dráhy meteoroidu:
Vzdálenost v periheliu: 0,982 AU
Excentricita: 0,652
Sklon dráhy: 5,1°
Délka vzestupného uzlu: 304,0°
Argument perihelia: 185,7°
Střední anomálie: 359,1°
Epocha: 2024 JAN 24 20:03:41
orbit

Neinteraktivní graf | Interaktivní graf

position vs time
speed & acceleration