🇳🇴 🇬🇧 🇩🇪 🇨🇿 🇫🇮

Meteor Finnsnesin yllä 2024-01-24 20:03:41 UTC

Skibotn – 3
Skibotn – 3
Sørreisa – 3
Sørreisa – 3
Sørreisa – 4
Sørreisa – 4

KML-tiedosto  | Interaktiivinen kartta

map

Kartta näyttää meteorin suuntahavainnot. Vaaleammat viivat näyttävät suunnat havaintoasemilta meteorin ilmestyessä, ja tummemmat viivat näyttävät, missä se viimeksi nähtiin. Sininen nuoli näyttää meteorin näkyvän lennon.

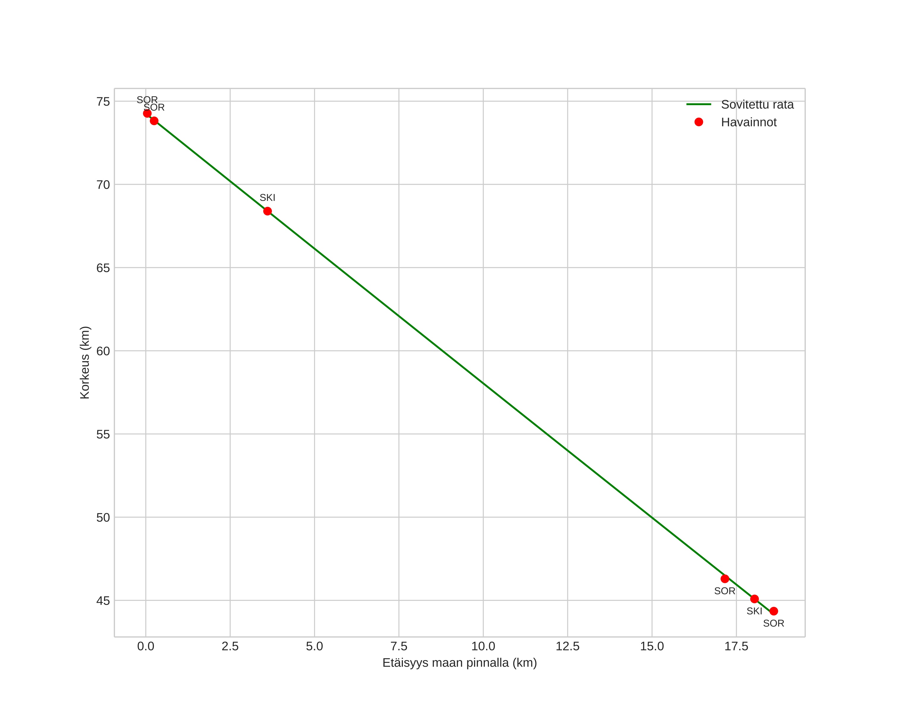
height profile
Meteorin ilmakehärata:
Alkukorkeus: 74,8 km
Loppukorkeus: 44,2 km
Alkupiste: 69,288N 17,713E
Loppupiste: 69,365N 18,145E
Suunta: 63,0°
Kallistuskulma: 58,2°
Tulonopeus: 14,2 km/s
Radiantin R,A,: 02:20 (35,1°)
Radiantin Dekl,: 37,9°
Meteoriparvi: Sporadinen
Meteoroidin rataelementit:
Perihelietäisyys: 0,982 AU
Eksentrisyys: 0,652
Inklinaatio: 5,1°
Nousevan solmun pituus: 304,0°
Perihelin argumentti: 185,7°
Keskianomalia: 359,1°
Epookki: 2024 JAN 24 20:03:41
orbit

Ei-interaktiivinen kuvaaja | Interaktiivinen kuvaaja

position vs time
speed & acceleration