🇳🇴 🇬🇧 🇩🇪 🇨🇿 🇫🇮

Meteor ĂĽber Finnsnes 2024-01-24 20:03:41 UTC

Skibotn – 3
Skibotn – 3
Sørreisa – 3
Sørreisa – 3
Sørreisa – 4
Sørreisa – 4

KML-Datei  | Interaktive Karte

map

Die Karte zeigt die Peilungen fĂĽr den Meteor. Die helleren Linien zeigen die Richtungen von den Beobachtungsorten beim Erscheinen des Meteors, und die dunkleren Linien, wo er zuletzt gesehen wurde. Der blaue Pfeil zeigt die sichtbare Bahn des Meteors.

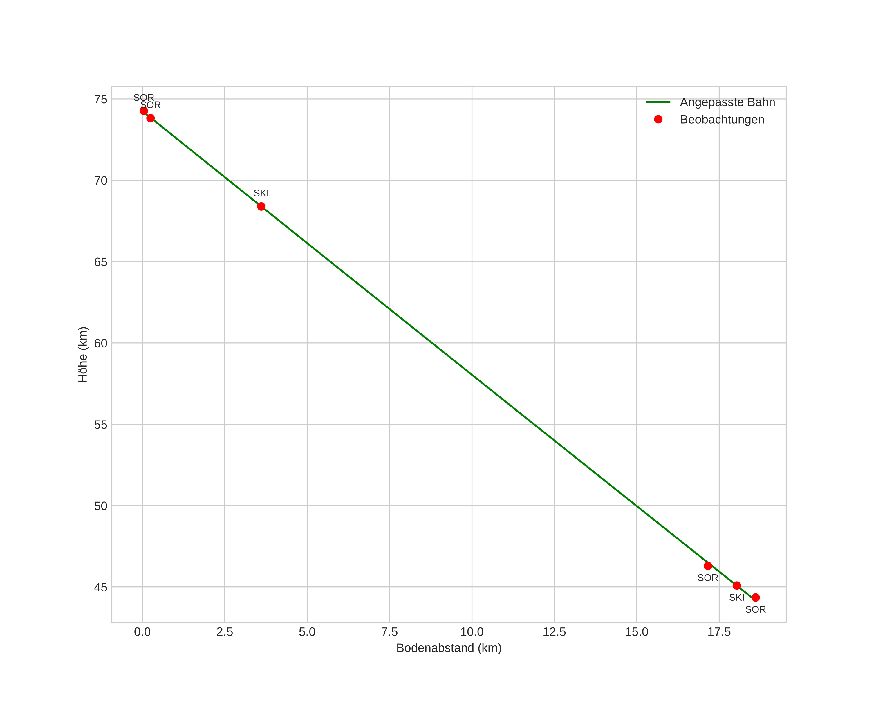
height profile
Atmosphärische Bahn des Meteors:
Anfangshöhe: 74,8 km
Endhöhe: 44,2 km
Startposition: 69,288N 17,713E
Endposition: 69,365N 18,145E
Richtung: 63,0°
Neigungswinkel: 58,2°
Eintrittsgeschwindigkeit: 14,2 km/s
Rektaszension des Radianten: 02:20 (35,1°)
Deklination des Radianten: 37,9°
Meteorstrom: sporadisch
Bahnelemente des Meteoroiden:
Periheldistanz: 0,982 AU
Exzentrizität: 0,652
Inklination: 5,1°
Länge des aufsteigenden Knotens: 304,0°
Argument des Perihels: 185,7°
Mittlere Anomalie: 359,1°
Epoche: 2024 JAN 24 20:03:41
orbit

Nicht-interaktives Diagramm | Interaktives Diagramm

position vs time
speed & acceleration