🇳🇴 🇬🇧 🇩🇪 🇨🇿 🇫🇮

Meteor, poloha: Kautokeino 2024-02-09 18:12:33 UTC

Eiscat – 4
Eiscat – 4
Eiscat – 5
Eiscat – 5
Skibotn – 2
Skibotn – 2

Soubor KML  | Interaktivní mapa

map

Mapa zobrazuje dráhy meteoru. Světlejší čáry ukazují směry od pozorovacích stanic při objevení se meteoru a tmavší čáry, kde byl naposledy viděn. Modrá šipka značí viditelnou dráhu meteoru.

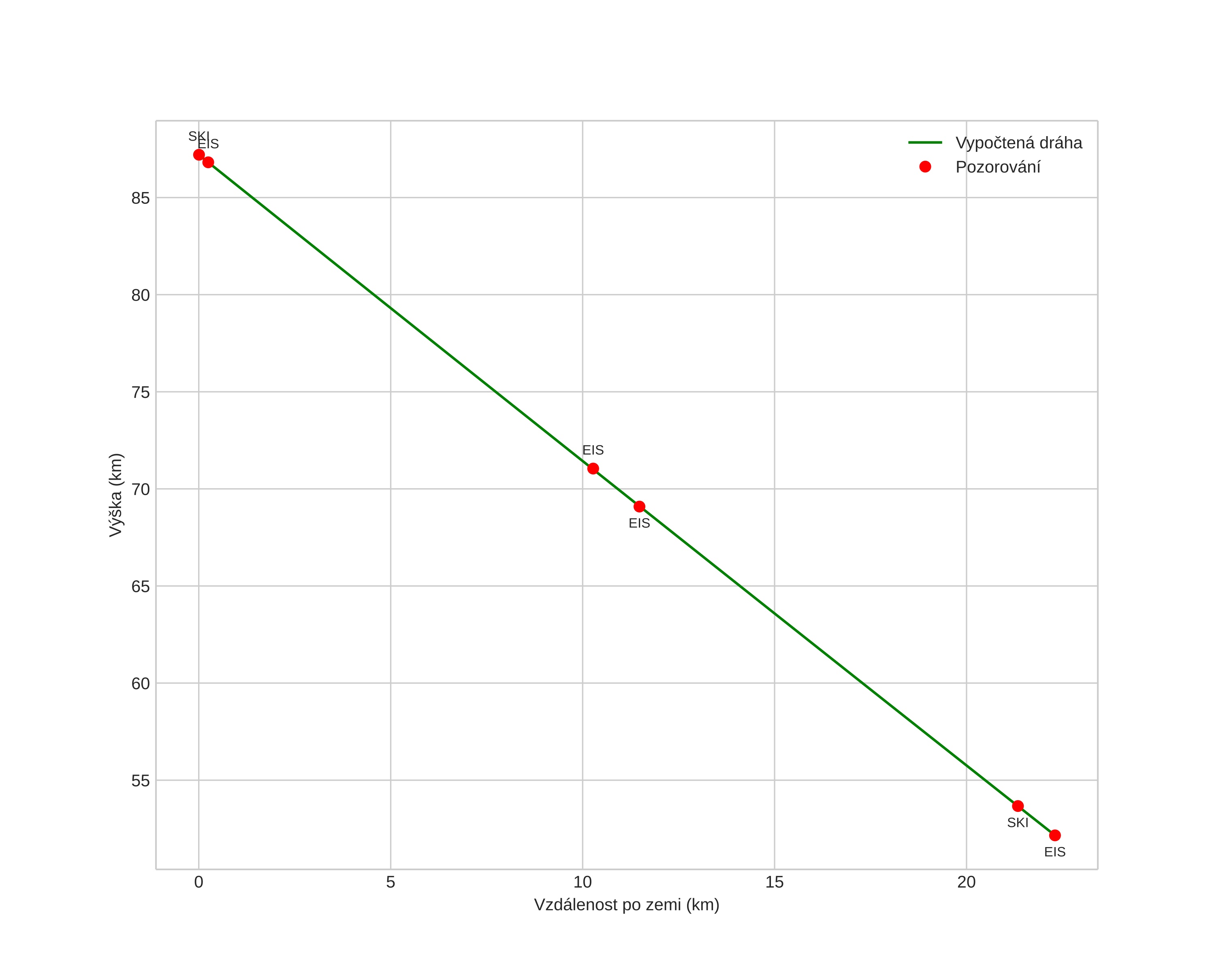
height profile
Atmosférická dráha meteoru:
Počáteční výška: 89,2 km
Konečná výška: 57,1 km
Počáteční poloha: 69,420N 21,951E
Konečná poloha: 69,372N 22,574E
Směr: 102,1°
Sklon: 52,1°
Vstupní rychlost: 16,2 km/s
Rektascenze radiantu: 23:34 (353,7°)
Deklinace radiantu: 45,8°
Meteorický roj: sporadický
Elementy dráhy meteoroidu:
Vzdálenost v periheliu: 0,966 AU
Excentricita: 0,669
Sklon dráhy: 12,3°
Délka vzestupného uzlu: 320,1°
Argument perihelia: 161,4°
Střední anomálie: 2,8°
Epocha: 2024 FEB 09 18:12:33
orbit

Neinteraktivní graf | Interaktivní graf

position vs time
speed & acceleration