🇳🇴 🇬🇧 🇩🇪 🇨🇿 🇫🇮

Meteor über Kautokeino 2024-02-09 18:12:33 UTC

Eiscat – 4
Eiscat – 4
Eiscat – 5
Eiscat – 5
Skibotn – 2
Skibotn – 2

KML-Datei  | Interaktive Karte

map

Die Karte zeigt die Peilungen für den Meteor. Die helleren Linien zeigen die Richtungen von den Beobachtungsorten beim Erscheinen des Meteors, und die dunkleren Linien, wo er zuletzt gesehen wurde. Der blaue Pfeil zeigt die sichtbare Bahn des Meteors.

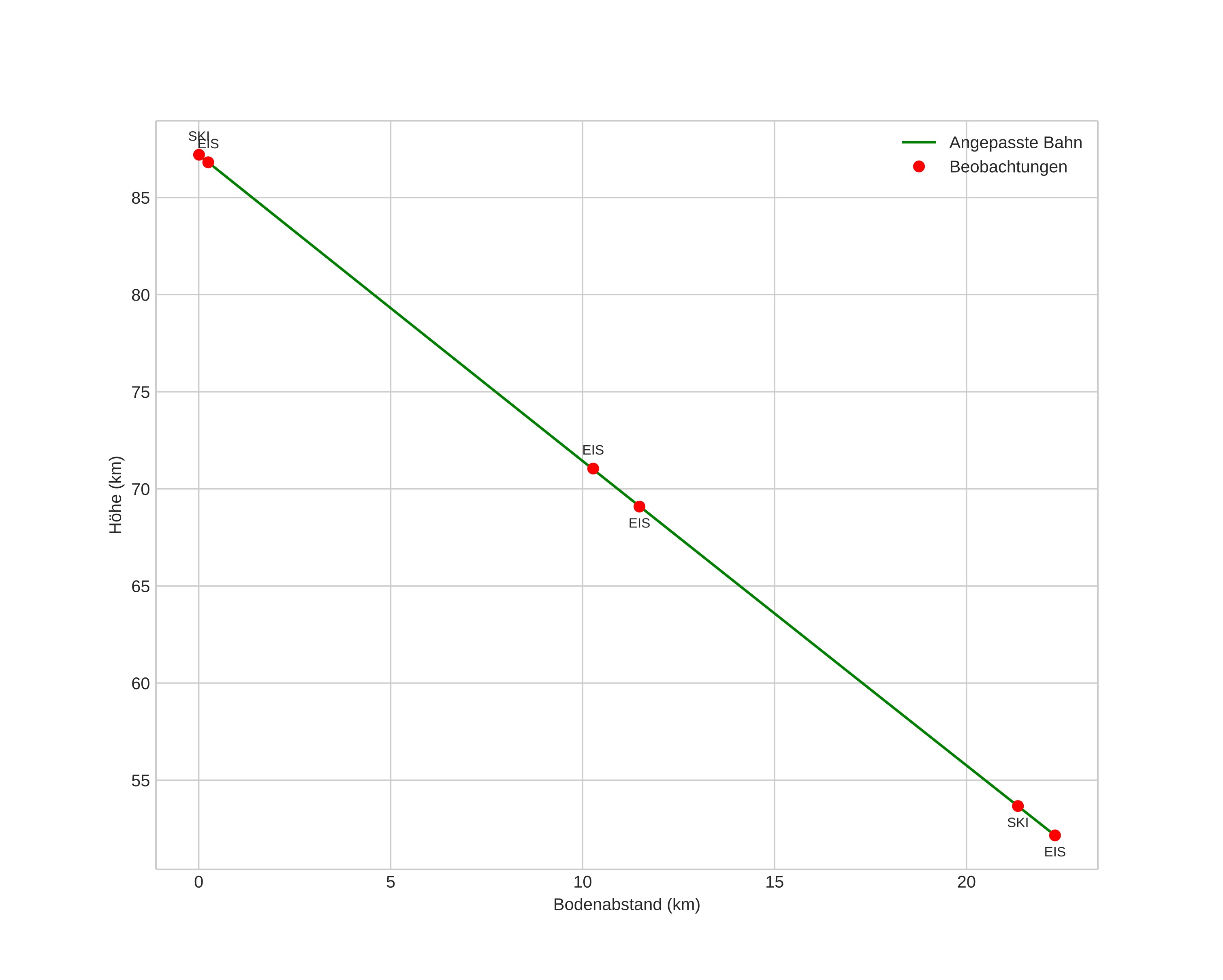
height profile
Atmosphärische Bahn des Meteors:
Anfangshöhe: 89,2 km
Endhöhe: 57,1 km
Startposition: 69,420N 21,951E
Endposition: 69,372N 22,574E
Richtung: 102,1°
Neigungswinkel: 52,1°
Eintrittsgeschwindigkeit: 16,2 km/s
Rektaszension des Radianten: 23:34 (353,7°)
Deklination des Radianten: 45,8°
Meteorstrom: sporadisch
Bahnelemente des Meteoroiden:
Periheldistanz: 0,966 AU
Exzentrizität: 0,669
Inklination: 12,3°
Länge des aufsteigenden Knotens: 320,1°
Argument des Perihels: 161,4°
Mittlere Anomalie: 2,8°
Epoche: 2024 FEB 09 18:12:33
orbit

Nicht-interaktives Diagramm | Interaktives Diagramm

position vs time
speed & acceleration