🇳🇴 🇬🇧 🇩🇪 🇨🇿 🇫🇮

Meteor Kautokeinon yllä 2024-02-09 18:12:33 UTC

Eiscat – 4
Eiscat – 4
Eiscat – 5
Eiscat – 5
Skibotn – 2
Skibotn – 2

KML-tiedosto  | Interaktiivinen kartta

map

Kartta näyttää meteorin suuntahavainnot. Vaaleammat viivat näyttävät suunnat havaintoasemilta meteorin ilmestyessä, ja tummemmat viivat näyttävät, missä se viimeksi nähtiin. Sininen nuoli näyttää meteorin näkyvän lennon.

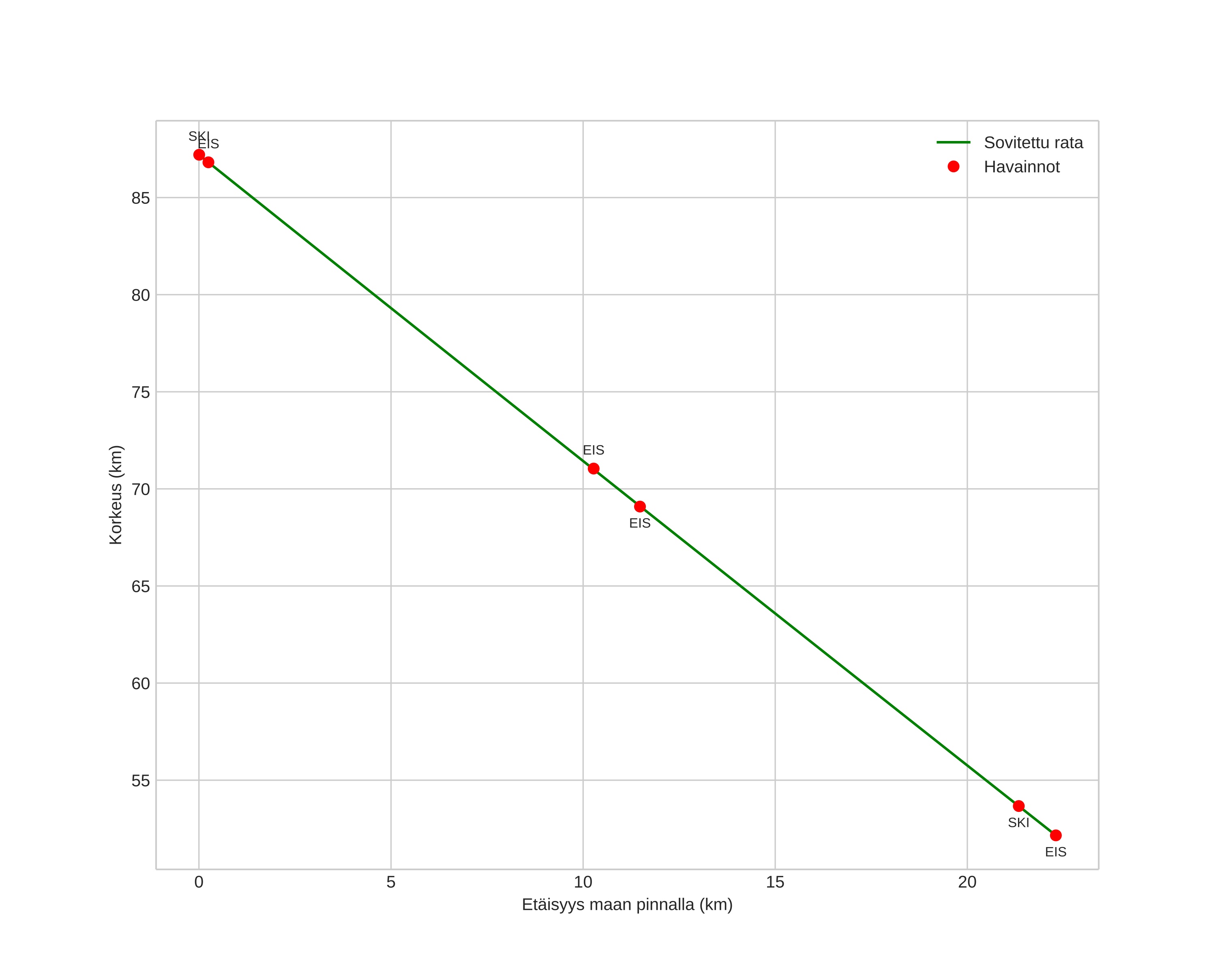
height profile
Meteorin ilmakehärata:
Alkukorkeus: 89,2 km
Loppukorkeus: 57,1 km
Alkupiste: 69,420N 21,951E
Loppupiste: 69,372N 22,574E
Suunta: 102,1°
Kallistuskulma: 52,1°
Tulonopeus: 16,2 km/s
Radiantin R,A,: 23:34 (353,7°)
Radiantin Dekl,: 45,8°
Meteoriparvi: Sporadinen
Meteoroidin rataelementit:
Perihelietäisyys: 0,966 AU
Eksentrisyys: 0,669
Inklinaatio: 12,3°
Nousevan solmun pituus: 320,1°
Perihelin argumentti: 161,4°
Keskianomalia: 2,8°
Epookki: 2024 FEB 09 18:12:33
orbit

Ei-interaktiivinen kuvaaja | Interaktiivinen kuvaaja

position vs time
speed & acceleration