🇳🇴 🇬🇧 🇩🇪 🇨🇿 🇫🇮

Meteor, poloha: Andenes 2024-02-12 01:23:05 UTC

Soubor KML  |  InteraktivnĂ­ mapa

Mapa zobrazuje dráhy meteoru. Světlejší čáry ukazují směry od pozorovacích stanic při objevení se meteoru a tmavší čáry, kde byl naposledy viděn. Modrá šipka značí viditelnou dráhu meteoru.

static map
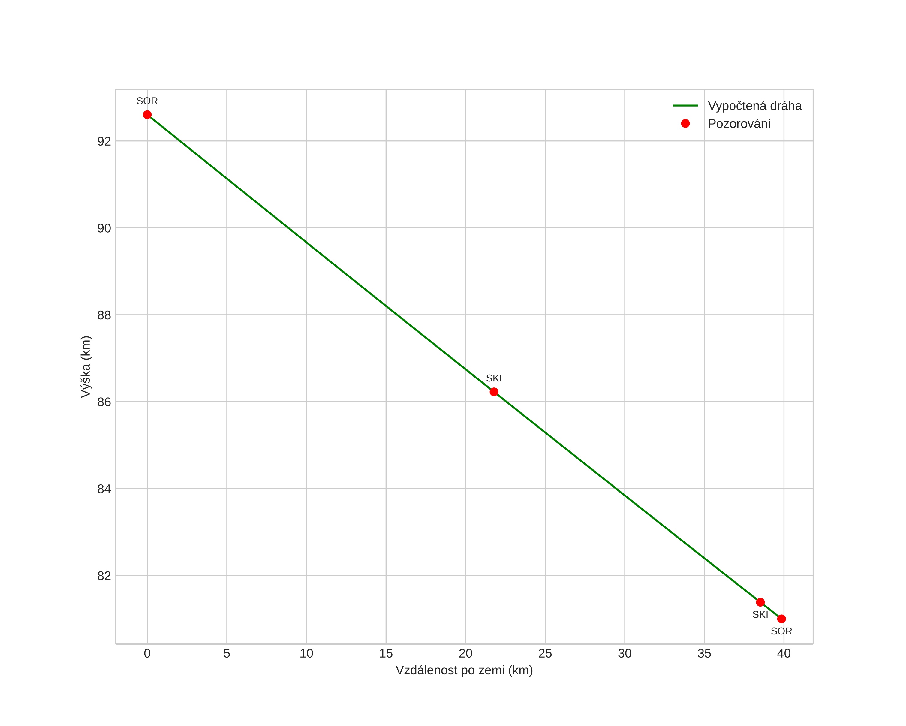
height profile
Atmosférická dráha meteoru:
Počáteční výška: 92,2 km
Konečná výška: 81,2 km
Počáteční poloha: 69,548N 15,487E
Konečná poloha: 69,839N 16,078E
Směr: 34,9°
Sklon: 15,5°
VstupnĂ­ rychlost: 23,8 km/s
Rektascenze radiantu: 09:30 (142,7°)
Deklinace radiantu: -6,6°
MeteorickĂ˝ roj: sporadickĂ˝
Elementy dráhy meteoroidu:
Vzdálenost v periheliu: 0,581 AU
Excentricita: 0,637
Sklon dráhy: 14,3°
Délka vzestupného uzlu: 142,5°
Argument perihelia: 93,2°
Střední anomálie: 336,2°
Epocha: 2024 FEB 12 01:23:05
orbit plot

NeinteraktivnĂ­ graf | InteraktivnĂ­ graf

position vs time
speed and acceleration