🇳🇴 🇬🇧 🇩🇪 🇨🇿 🇫🇮

Meteor Andenesin yllä 2024-02-12 01:23:05 UTC

KML-tiedosto  |  Interaktiivinen kartta

Kartta näyttää meteorin suuntahavainnot. Vaaleammat viivat näyttävät suunnat havaintoasemilta meteorin ilmestyessä, ja tummemmat viivat näyttävät, missä se viimeksi nähtiin. Sininen nuoli näyttää meteorin näkyvän lennon.

static map
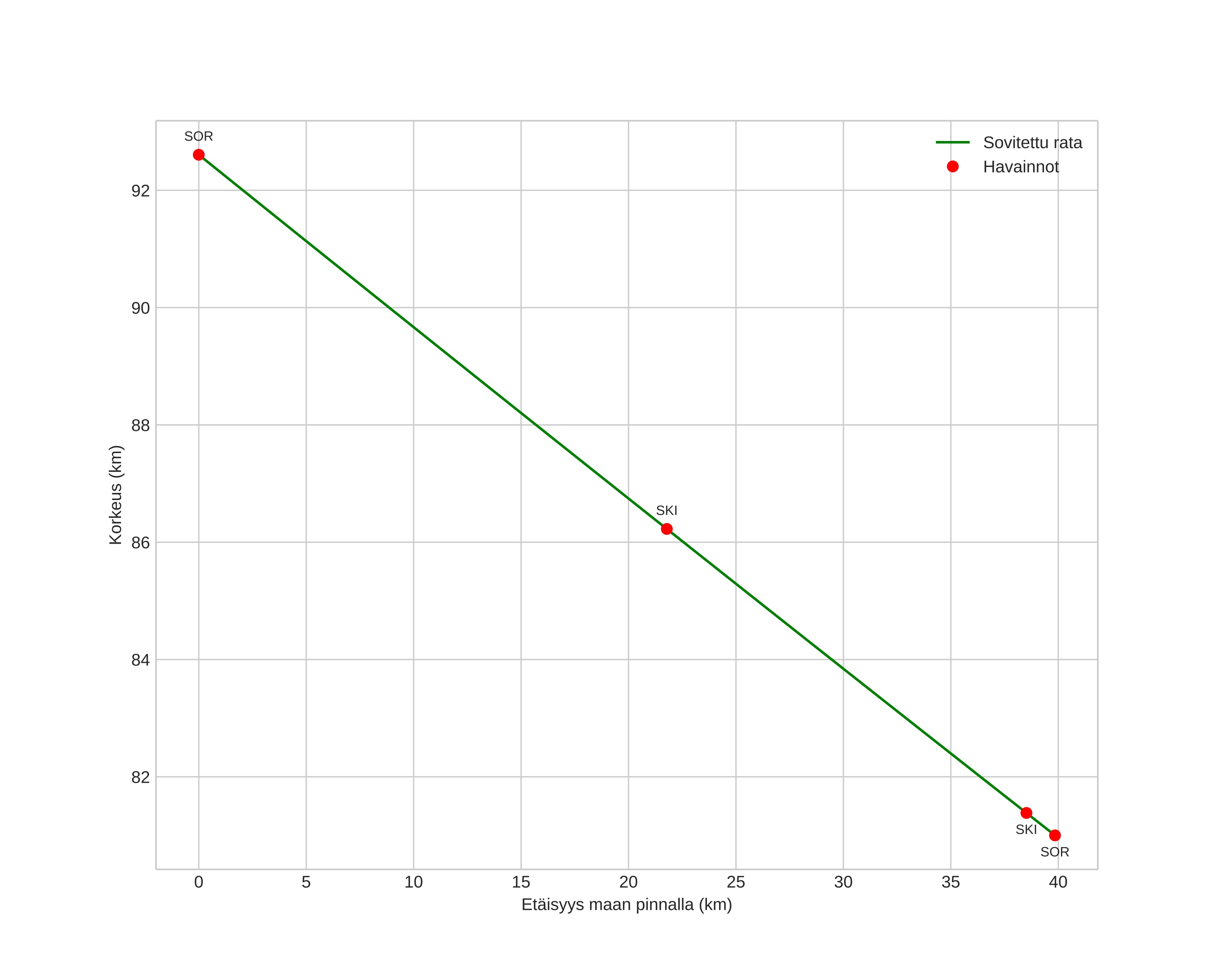
height profile
Meteorin ilmakehärata:
Alkukorkeus: 92,2 km
Loppukorkeus: 81,2 km
Alkupiste: 69,548N 15,487E
Loppupiste: 69,839N 16,078E
Suunta: 34,9°
Kallistuskulma: 15,5°
Tulonopeus: 23,8 km/s
Radiantin R,A,: 09:30 (142,7°)
Radiantin Dekl,: -6,6°
Meteoriparvi: Sporadinen
Meteoroidin rataelementit:
Perihelietäisyys: 0,581 AU
Eksentrisyys: 0,637
Inklinaatio: 14,3°
Nousevan solmun pituus: 142,5°
Perihelin argumentti: 93,2°
Keskianomalia: 336,2°
Epookki: 2024 FEB 12 01:23:05
orbit plot

Ei-interaktiivinen kuvaaja | Interaktiivinen kuvaaja

position vs time
speed and acceleration