🇳🇴 🇬🇧 🇩🇪 🇨🇿 🇫🇮

Meteor über Andenes 2024-02-12 01:23:05 UTC

KML-Datei  |  Interaktive Karte

Die Karte zeigt die Peilungen für den Meteor. Die helleren Linien zeigen die Richtungen von den Beobachtungsorten beim Erscheinen des Meteors, und die dunkleren Linien, wo er zuletzt gesehen wurde. Der blaue Pfeil zeigt die sichtbare Bahn des Meteors.

static map
height profile
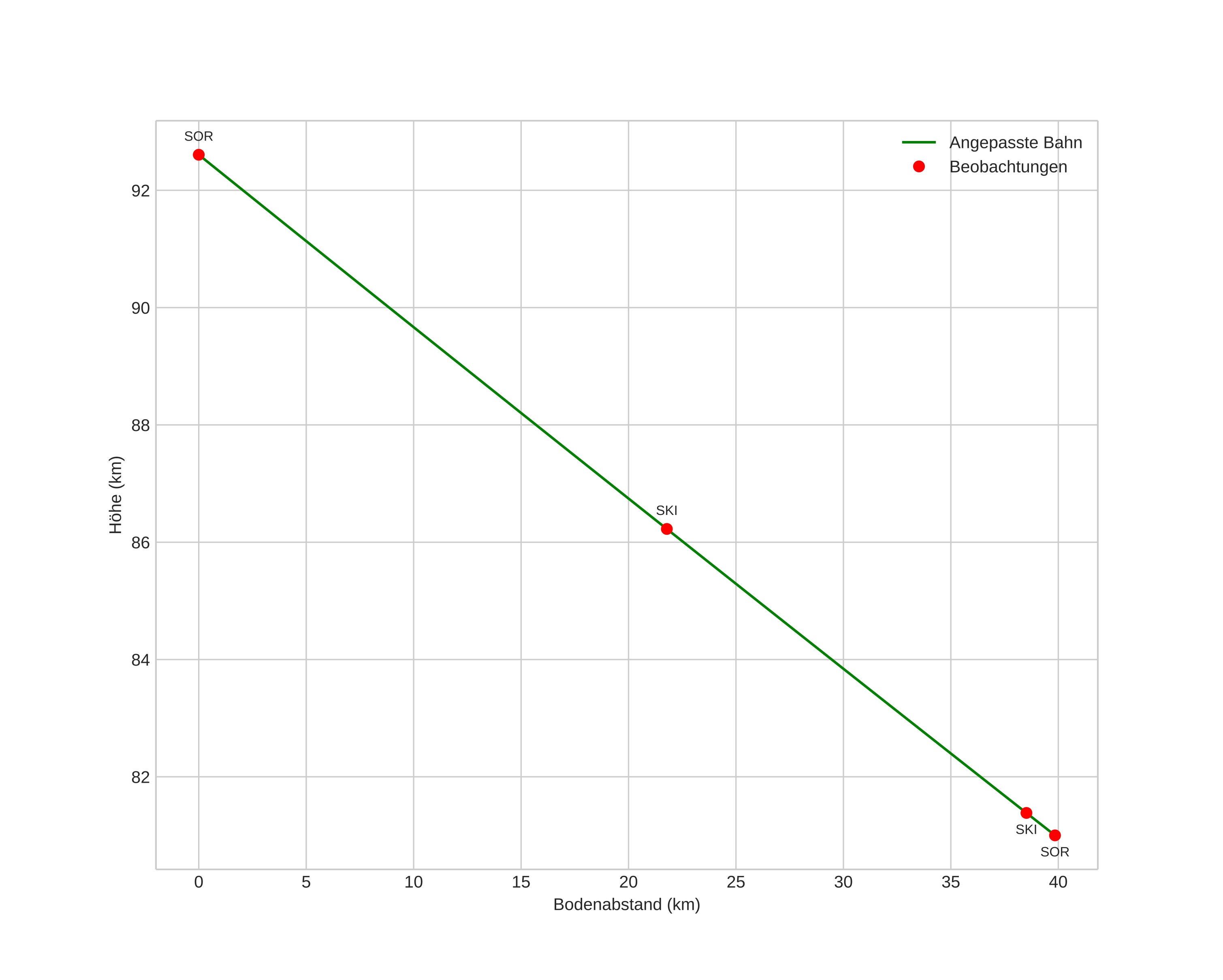
Atmosphärische Bahn des Meteors:
Anfangshöhe: 92,2 km
Endhöhe: 81,2 km
Startposition: 69,548N 15,487E
Endposition: 69,839N 16,078E
Richtung: 34,9°
Neigungswinkel: 15,5°
Eintrittsgeschwindigkeit: 23,8 km/s
Rektaszension des Radianten: 09:30 (142,7°)
Deklination des Radianten: -6,6°
Meteorstrom: sporadisch
Bahnelemente des Meteoroiden:
Periheldistanz: 0,581 AU
Exzentrizität: 0,637
Inklination: 14,3°
Länge des aufsteigenden Knotens: 142,5°
Argument des Perihels: 93,2°
Mittlere Anomalie: 336,2°
Epoche: 2024 FEB 12 01:23:05
orbit plot

Nicht-interaktives Diagramm | Interaktives Diagramm

position vs time
speed and acceleration