🇳🇴 🇬🇧 🇩🇪 🇨🇿 🇫🇮

Meteor, poloha: Årjäng 2024-02-27 02:55:54 UTC

Soubor KML  |  InteraktivnĂ­ mapa

Mapa zobrazuje dráhy meteoru. Světlejší čáry ukazují směry od pozorovacích stanic při objevení se meteoru a tmavší čáry, kde byl naposledy viděn. Modrá šipka značí viditelnou dráhu meteoru.

static map
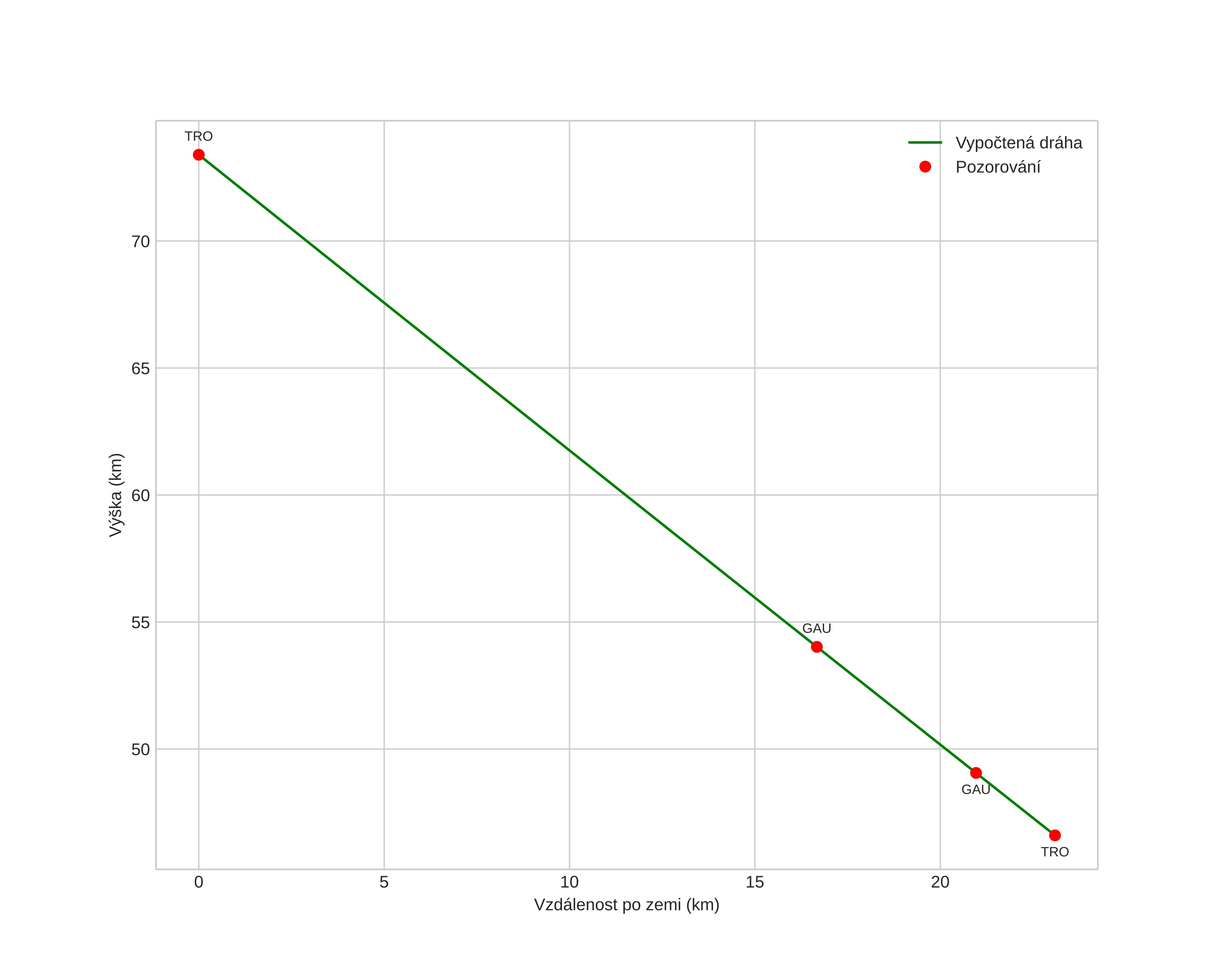
height profile
Atmosférická dráha meteoru:
Počáteční výška: 74,1 km
Konečná výška: 47,3 km
Počáteční poloha: 59,266N 11,666E
Konečná poloha: 59,390N 11,984E
Směr: 52,6°
Sklon: 49,8°
VstupnĂ­ rychlost: 19,4 km/s
Rektascenze radiantu: 11:35 (173,9°)
Deklinace radiantu: 23,3°
MeteorickĂ˝ roj: sporadickĂ˝
Elementy dráhy meteoroidu:
Vzdálenost v periheliu: 0,614 AU
Excentricita: 0,477
Sklon dráhy: 10,5°
Délka vzestupného uzlu: 337,7°
Argument perihelia: 280,2°
Střední anomálie: 314,9°
Epocha: 2024 FEB 27 02:55:54
orbit plot

NeinteraktivnĂ­ graf | InteraktivnĂ­ graf

position vs time
speed and acceleration