🇳🇴 🇬🇧 🇩🇪 🇨🇿 🇫🇮

Meteor Årjängin yllä 2024-02-27 02:55:54 UTC

KML-tiedosto  |  Interaktiivinen kartta

Kartta näyttää meteorin suuntahavainnot. Vaaleammat viivat näyttävät suunnat havaintoasemilta meteorin ilmestyessä, ja tummemmat viivat näyttävät, missä se viimeksi nähtiin. Sininen nuoli näyttää meteorin näkyvän lennon.

static map
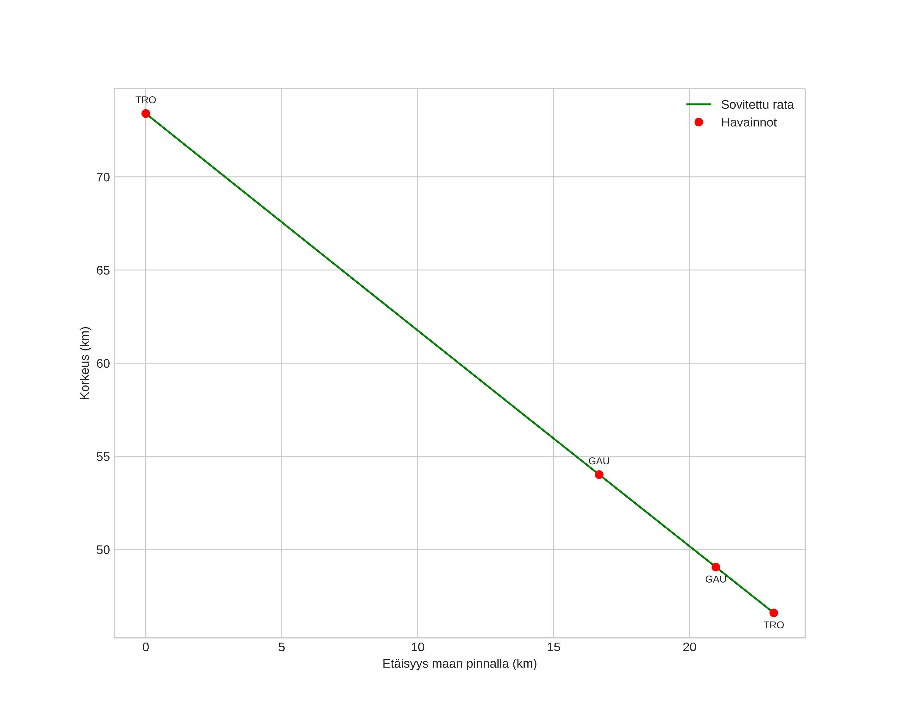
height profile
Meteorin ilmakehärata:
Alkukorkeus: 74,1 km
Loppukorkeus: 47,3 km
Alkupiste: 59,266N 11,666E
Loppupiste: 59,390N 11,984E
Suunta: 52,6°
Kallistuskulma: 49,8°
Tulonopeus: 19,4 km/s
Radiantin R,A,: 11:35 (173,9°)
Radiantin Dekl,: 23,3°
Meteoriparvi: Sporadinen
Meteoroidin rataelementit:
Perihelietäisyys: 0,614 AU
Eksentrisyys: 0,477
Inklinaatio: 10,5°
Nousevan solmun pituus: 337,7°
Perihelin argumentti: 280,2°
Keskianomalia: 314,9°
Epookki: 2024 FEB 27 02:55:54
orbit plot

Ei-interaktiivinen kuvaaja | Interaktiivinen kuvaaja

position vs time
speed and acceleration