🇳🇴 🇬🇧 🇩🇪 🇨🇿 🇫🇮

Meteor über Årjäng 2024-02-27 02:55:54 UTC

KML-Datei  |  Interaktive Karte

Die Karte zeigt die Peilungen für den Meteor. Die helleren Linien zeigen die Richtungen von den Beobachtungsorten beim Erscheinen des Meteors, und die dunkleren Linien, wo er zuletzt gesehen wurde. Der blaue Pfeil zeigt die sichtbare Bahn des Meteors.

static map
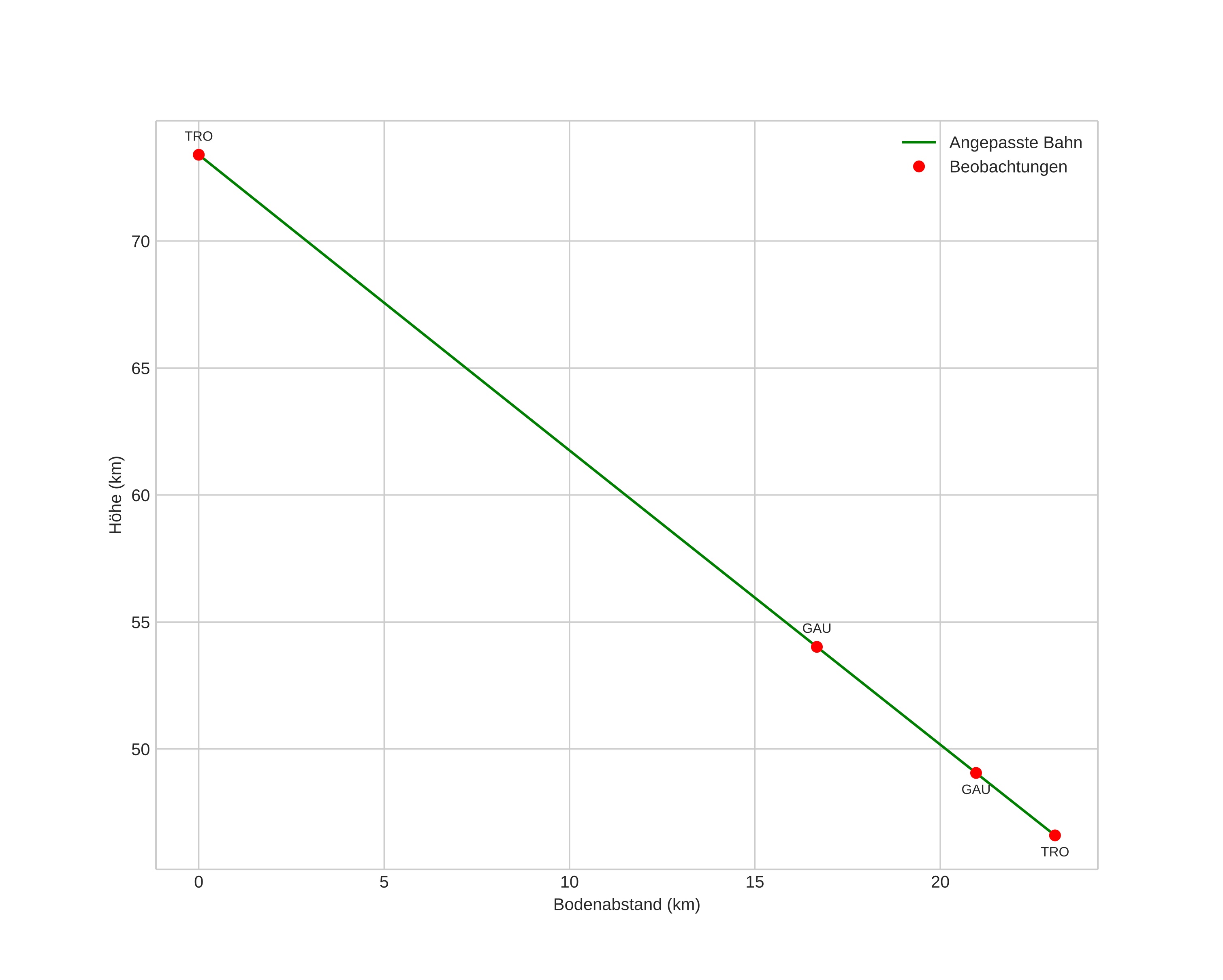
height profile
Atmosphärische Bahn des Meteors:
Anfangshöhe: 74,1 km
Endhöhe: 47,3 km
Startposition: 59,266N 11,666E
Endposition: 59,390N 11,984E
Richtung: 52,6°
Neigungswinkel: 49,8°
Eintrittsgeschwindigkeit: 19,4 km/s
Rektaszension des Radianten: 11:35 (173,9°)
Deklination des Radianten: 23,3°
Meteorstrom: sporadisch
Bahnelemente des Meteoroiden:
Periheldistanz: 0,614 AU
Exzentrizität: 0,477
Inklination: 10,5°
Länge des aufsteigenden Knotens: 337,7°
Argument des Perihels: 280,2°
Mittlere Anomalie: 314,9°
Epoche: 2024 FEB 27 02:55:54
orbit plot

Nicht-interaktives Diagramm | Interaktives Diagramm

position vs time
speed and acceleration