🇳🇴 🇬🇧 🇩🇪 🇨🇿 🇫🇮

Meteor, poloha: Kiruna 2024-03-14 22:42:32 UTC

Soubor KML  |  InteraktivnĂ­ mapa

Mapa zobrazuje dráhy meteoru. Světlejší čáry ukazují směry od pozorovacích stanic při objevení se meteoru a tmavší čáry, kde byl naposledy viděn. Modrá šipka značí viditelnou dráhu meteoru.

static map
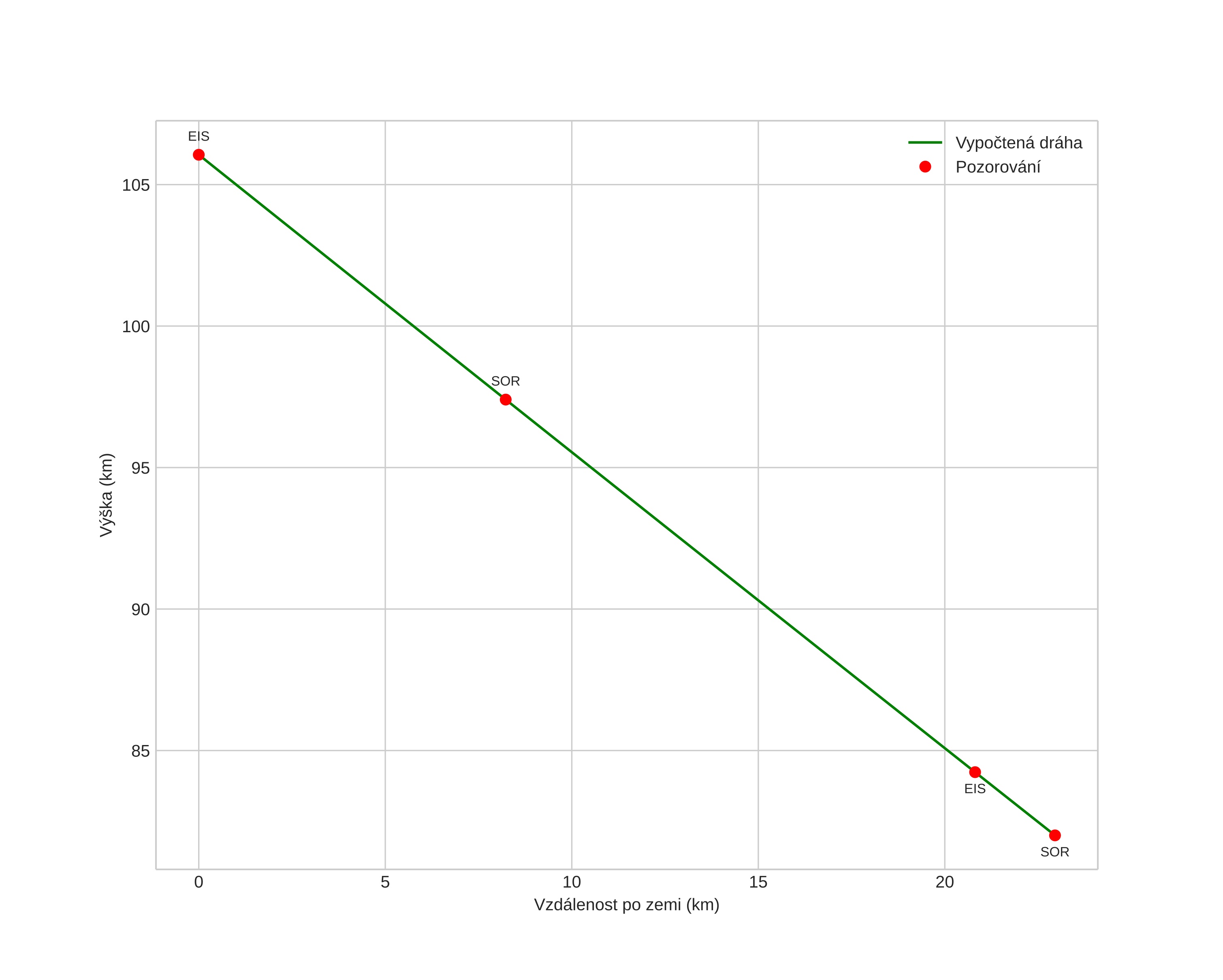
height profile
Atmosférická dráha meteoru:
Počáteční výška: 101,8 km
Konečná výška: 81,2 km
Počáteční poloha: 68,221N 19,733E
Konečná poloha: 68,395N 19,814E
Směr: 9,6°
Sklon: 46,2°
VstupnĂ­ rychlost: 22,0 km/s
Rektascenze radiantu: 10:59 (165,0°)
Deklinace radiantu: 21,4°
MeteorickĂ˝ roj: sporadickĂ˝
Elementy dráhy meteoroidu:
Vzdálenost v periheliu: 0,781 AU
Excentricita: 0,804
Sklon dráhy: 7,3°
Délka vzestupného uzlu: 354,5°
Argument perihelia: 238,8°
Střední anomálie: 355,5°
Epocha: 2024 MAR 14 22:42:32
orbit plot

NeinteraktivnĂ­ graf | InteraktivnĂ­ graf

position vs time
speed and acceleration