🇳🇴 🇬🇧 🇩🇪 🇨🇿 🇫🇮

Meteor über Kiruna 2024-03-14 22:42:32 UTC

KML-Datei  |  Interaktive Karte

Die Karte zeigt die Peilungen für den Meteor. Die helleren Linien zeigen die Richtungen von den Beobachtungsorten beim Erscheinen des Meteors, und die dunkleren Linien, wo er zuletzt gesehen wurde. Der blaue Pfeil zeigt die sichtbare Bahn des Meteors.

static map
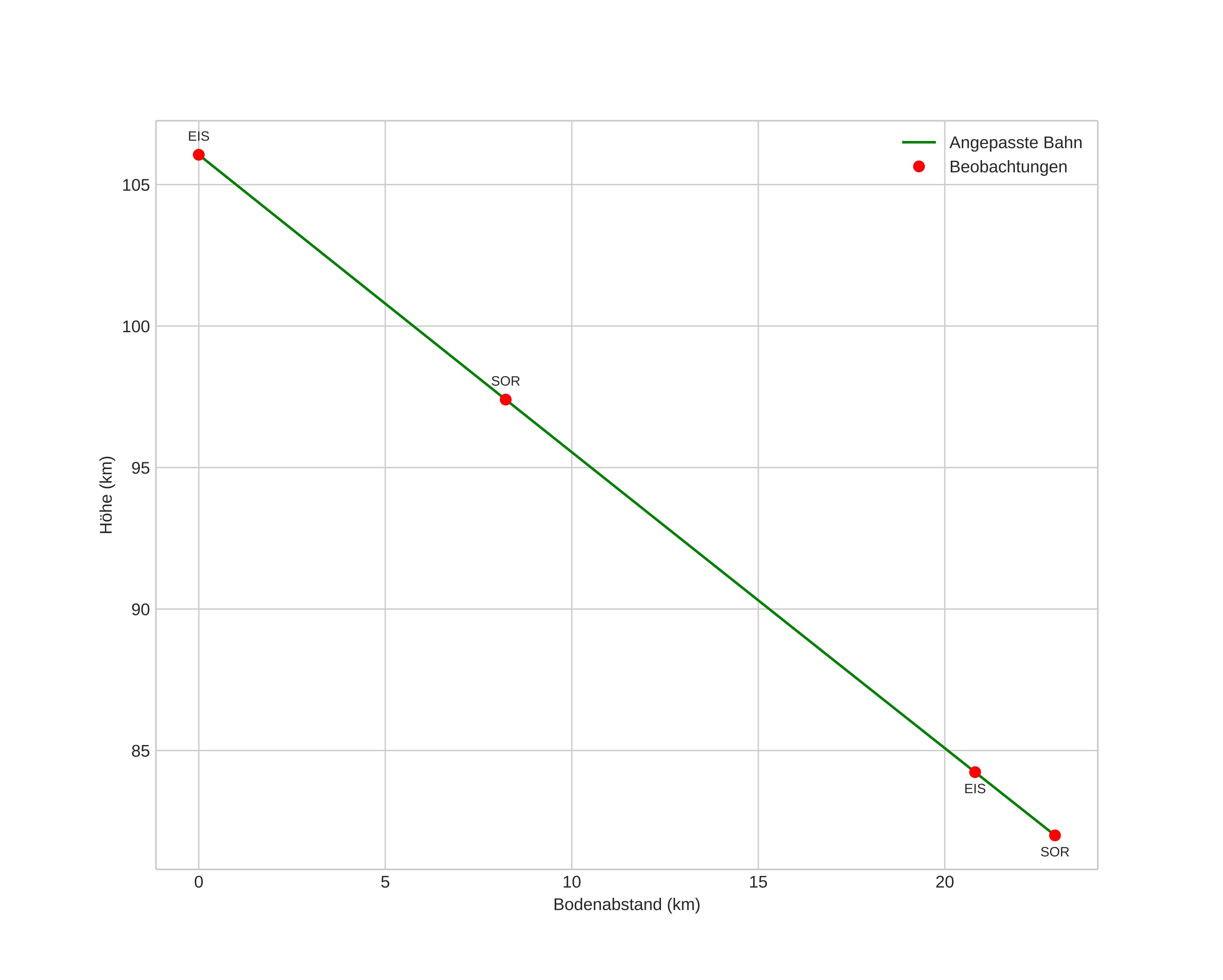
height profile
Atmosphärische Bahn des Meteors:
Anfangshöhe: 101,8 km
Endhöhe: 81,2 km
Startposition: 68,221N 19,733E
Endposition: 68,395N 19,814E
Richtung: 9,6°
Neigungswinkel: 46,2°
Eintrittsgeschwindigkeit: 22,0 km/s
Rektaszension des Radianten: 10:59 (165,0°)
Deklination des Radianten: 21,4°
Meteorstrom: sporadisch
Bahnelemente des Meteoroiden:
Periheldistanz: 0,781 AU
Exzentrizität: 0,804
Inklination: 7,3°
Länge des aufsteigenden Knotens: 354,5°
Argument des Perihels: 238,8°
Mittlere Anomalie: 355,5°
Epoche: 2024 MAR 14 22:42:32
orbit plot

Nicht-interaktives Diagramm | Interaktives Diagramm

position vs time
speed and acceleration