🇳🇴 🇬🇧 🇩🇪 🇨🇿 🇫🇮

Meteor Kirunan yllä 2024-03-14 22:42:32 UTC

KML-tiedosto  |  Interaktiivinen kartta

Kartta näyttää meteorin suuntahavainnot. Vaaleammat viivat näyttävät suunnat havaintoasemilta meteorin ilmestyessä, ja tummemmat viivat näyttävät, missä se viimeksi nähtiin. Sininen nuoli näyttää meteorin näkyvän lennon.

static map
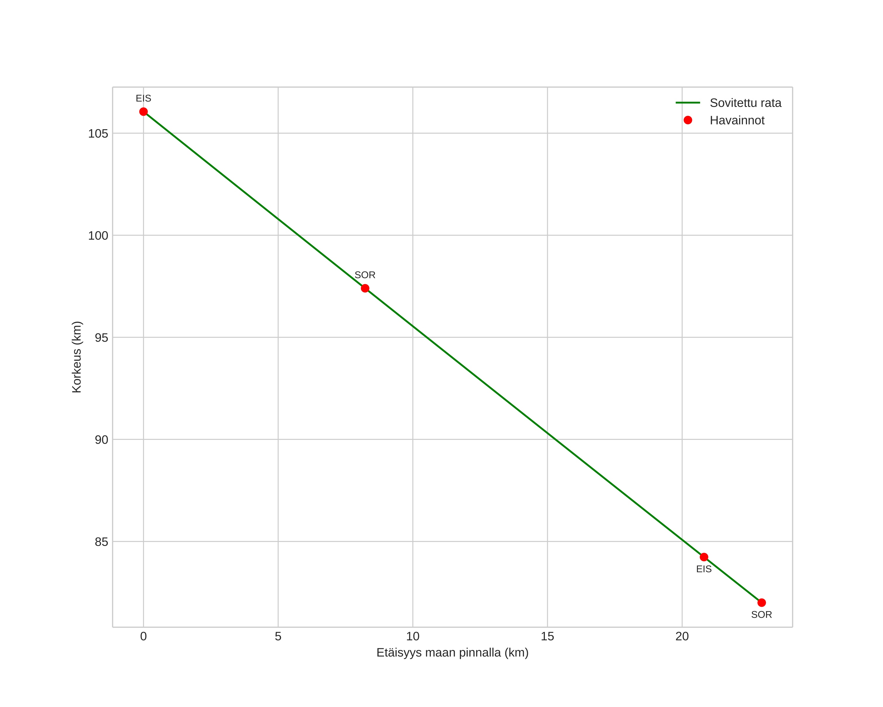
height profile
Meteorin ilmakehärata:
Alkukorkeus: 101,8 km
Loppukorkeus: 81,2 km
Alkupiste: 68,221N 19,733E
Loppupiste: 68,395N 19,814E
Suunta: 9,6°
Kallistuskulma: 46,2°
Tulonopeus: 22,0 km/s
Radiantin R,A,: 10:59 (165,0°)
Radiantin Dekl,: 21,4°
Meteoriparvi: Sporadinen
Meteoroidin rataelementit:
Perihelietäisyys: 0,781 AU
Eksentrisyys: 0,804
Inklinaatio: 7,3°
Nousevan solmun pituus: 354,5°
Perihelin argumentti: 238,8°
Keskianomalia: 355,5°
Epookki: 2024 MAR 14 22:42:32
orbit plot

Ei-interaktiivinen kuvaaja | Interaktiivinen kuvaaja

position vs time
speed and acceleration