🇳🇴 🇬🇧 🇩🇪 🇨🇿 🇫🇮

Meteor, poloha: Straume 2024-03-26 23:31:34 UTC

Soubor KML  |  InteraktivnĂ­ mapa

Mapa zobrazuje dráhy meteoru. Světlejší čáry ukazují směry od pozorovacích stanic při objevení se meteoru a tmavší čáry, kde byl naposledy viděn. Modrá šipka značí viditelnou dráhu meteoru.

static map
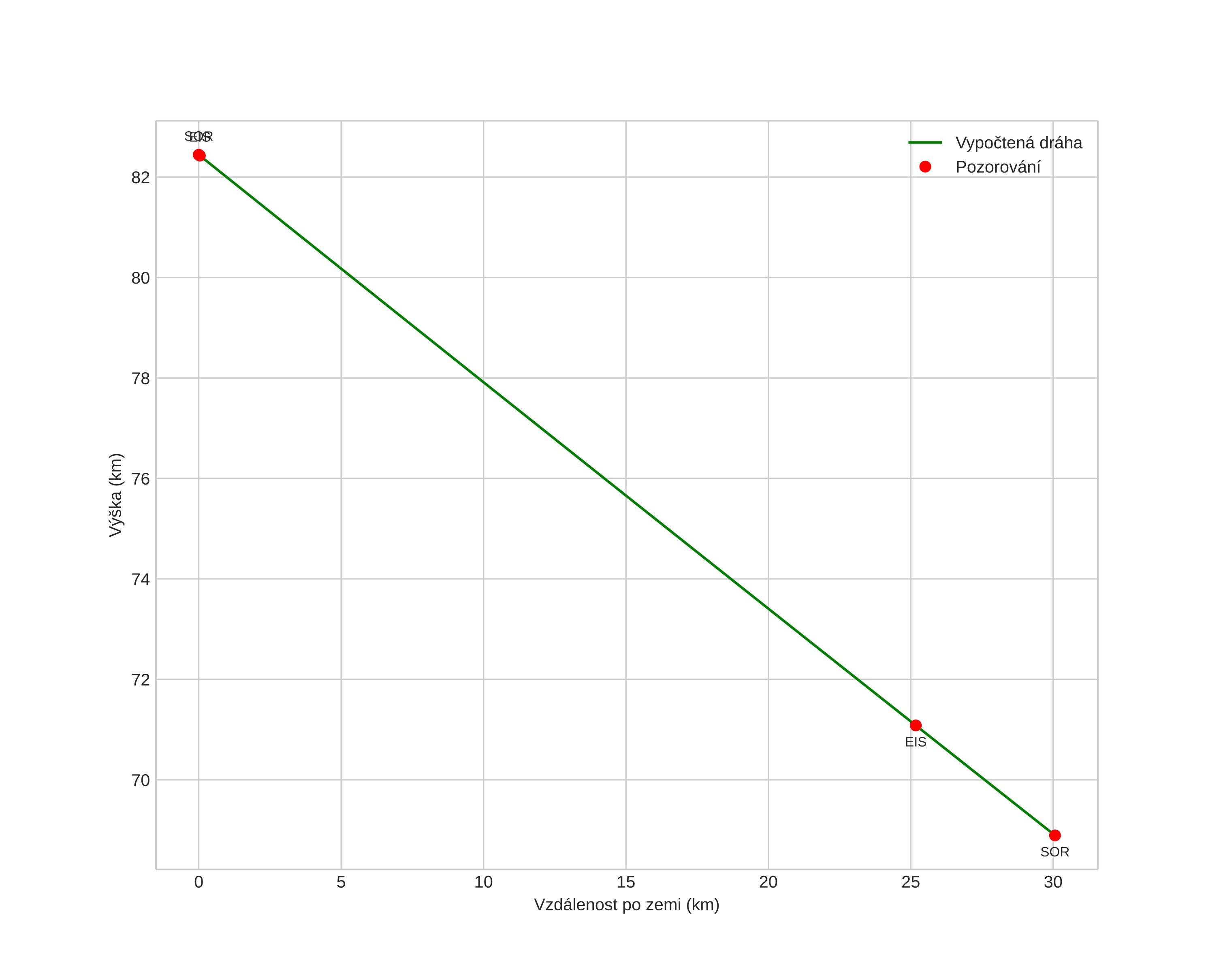
height profile
Atmosférická dráha meteoru:
Počáteční výška: 82,4 km
Konečná výška: 69,3 km
Počáteční poloha: 68,725N 14,113E
Konečná poloha: 68,988N 14,217E
Směr: 8,1°
Sklon: 23,9°
VstupnĂ­ rychlost: 21,1 km/s
Rektascenze radiantu: 12:13 (183,3°)
Deklinace radiantu: -3,1°
MeteorickĂ˝ roj: sporadickĂ˝
Elementy dráhy meteoroidu:
Vzdálenost v periheliu: 0,653 AU
Excentricita: 0,601
Sklon dráhy: 0,9°
Délka vzestupného uzlu: 186,4°
Argument perihelia: 85,4°
Střední anomálie: 336,7°
Epocha: 2024 MAR 26 23:31:34
orbit plot

NeinteraktivnĂ­ graf | InteraktivnĂ­ graf

position vs time
speed and acceleration