🇳🇴 🇬🇧 🇩🇪 🇨🇿 🇫🇮

Meteor Straumen yllä 2024-03-26 23:31:34 UTC

KML-tiedosto  |  Interaktiivinen kartta

Kartta näyttää meteorin suuntahavainnot. Vaaleammat viivat näyttävät suunnat havaintoasemilta meteorin ilmestyessä, ja tummemmat viivat näyttävät, missä se viimeksi nähtiin. Sininen nuoli näyttää meteorin näkyvän lennon.

static map
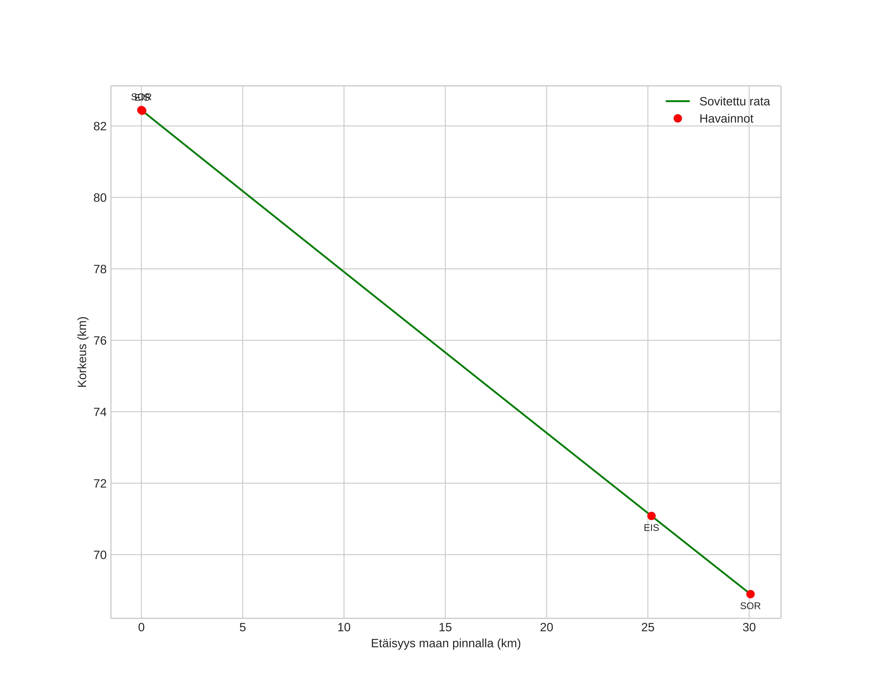
height profile
Meteorin ilmakehärata:
Alkukorkeus: 82,4 km
Loppukorkeus: 69,3 km
Alkupiste: 68,725N 14,113E
Loppupiste: 68,988N 14,217E
Suunta: 8,1°
Kallistuskulma: 23,9°
Tulonopeus: 21,1 km/s
Radiantin R,A,: 12:13 (183,3°)
Radiantin Dekl,: -3,1°
Meteoriparvi: Sporadinen
Meteoroidin rataelementit:
Perihelietäisyys: 0,653 AU
Eksentrisyys: 0,601
Inklinaatio: 0,9°
Nousevan solmun pituus: 186,4°
Perihelin argumentti: 85,4°
Keskianomalia: 336,7°
Epookki: 2024 MAR 26 23:31:34
orbit plot

Ei-interaktiivinen kuvaaja | Interaktiivinen kuvaaja

position vs time
speed and acceleration