🇳🇴 🇬🇧 🇩🇪 🇨🇿 🇫🇮

Meteor über Straume 2024-03-26 23:31:34 UTC

KML-Datei  |  Interaktive Karte

Die Karte zeigt die Peilungen für den Meteor. Die helleren Linien zeigen die Richtungen von den Beobachtungsorten beim Erscheinen des Meteors, und die dunkleren Linien, wo er zuletzt gesehen wurde. Der blaue Pfeil zeigt die sichtbare Bahn des Meteors.

static map
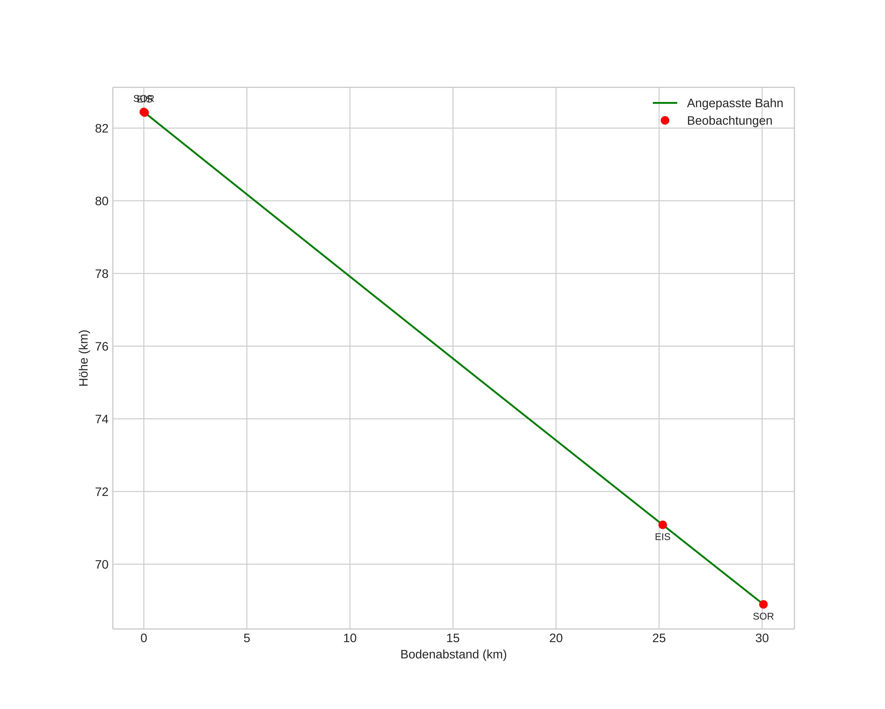
height profile
Atmosphärische Bahn des Meteors:
Anfangshöhe: 82,4 km
Endhöhe: 69,3 km
Startposition: 68,725N 14,113E
Endposition: 68,988N 14,217E
Richtung: 8,1°
Neigungswinkel: 23,9°
Eintrittsgeschwindigkeit: 21,1 km/s
Rektaszension des Radianten: 12:13 (183,3°)
Deklination des Radianten: -3,1°
Meteorstrom: sporadisch
Bahnelemente des Meteoroiden:
Periheldistanz: 0,653 AU
Exzentrizität: 0,601
Inklination: 0,9°
Länge des aufsteigenden Knotens: 186,4°
Argument des Perihels: 85,4°
Mittlere Anomalie: 336,7°
Epoche: 2024 MAR 26 23:31:34
orbit plot

Nicht-interaktives Diagramm | Interaktives Diagramm

position vs time
speed and acceleration