🇳🇴 🇬🇧 🇩🇪 🇨🇿 🇫🇮

Meteor, poloha: Engerdal 2024-10-12 02:14:55 UTC

Soubor KML  |  InteraktivnĂ­ mapa

Mapa zobrazuje dráhy meteoru. Světlejší čáry ukazují směry od pozorovacích stanic při objevení se meteoru a tmavší čáry, kde byl naposledy viděn. Modrá šipka značí viditelnou dráhu meteoru.

static map
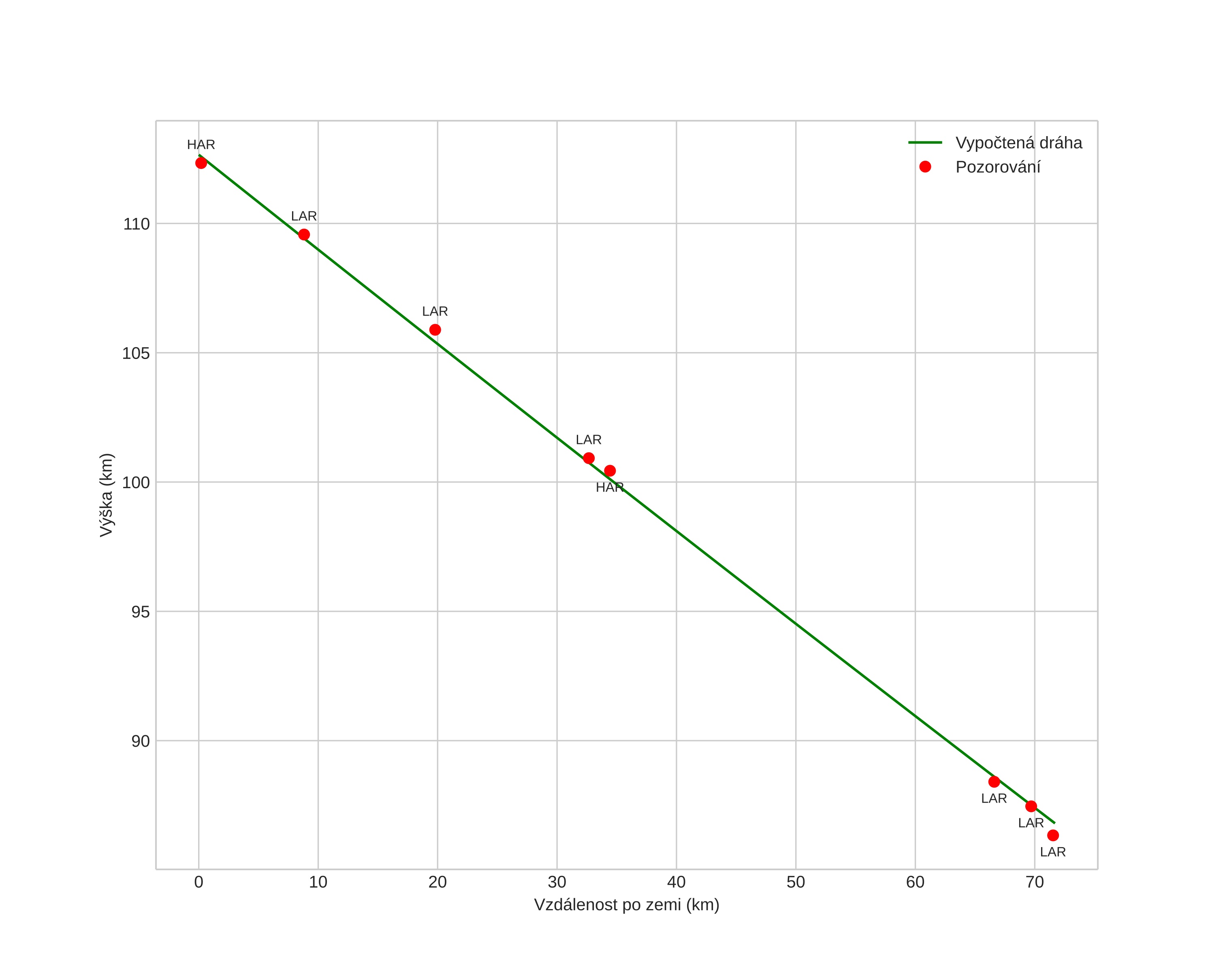
height profile
Atmosférická dráha meteoru:
Počáteční výška: 118,5 km
Konečná výška: 83,3 km
Počáteční poloha: 61,761N 13,289E
Konečná poloha: 61,994N 11,946E
Směr: 290,8°
Sklon: 25,1°
VstupnĂ­ rychlost: 70,6 km/s
Rektascenze radiantu: 08:32 (128,0°)
Deklinace radiantu: 12,5°
MeteorickĂ˝ roj: sporadickĂ˝
Elementy dráhy meteoroidu:
Vzdálenost v periheliu: 0,748 AU
Excentricita: 1,010
Sklon dráhy: 168,3°
Délka vzestupného uzlu: 18,9°
Argument perihelia: 300,1°
Střední anomálie: 0,1°
Epocha: 2024 OCT 12 02:14:55
orbit plot

NeinteraktivnĂ­ graf | InteraktivnĂ­ graf

position vs time
speed and acceleration

Larvik (LAR) cam2

gnomonic
Videa
• Původní
Obrázky
• Původní
Textové soubory
• Detekce
• Pozorování
• Souřadnice
• Protokol
Jasnost