🇳🇴 🇬🇧 🇩🇪 🇨🇿 🇫🇮

Meteor Engerdalin yllä 2024-10-12 02:14:55 UTC

KML-tiedosto  |  Interaktiivinen kartta

Kartta näyttää meteorin suuntahavainnot. Vaaleammat viivat näyttävät suunnat havaintoasemilta meteorin ilmestyessä, ja tummemmat viivat näyttävät, missä se viimeksi nähtiin. Sininen nuoli näyttää meteorin näkyvän lennon.

static map
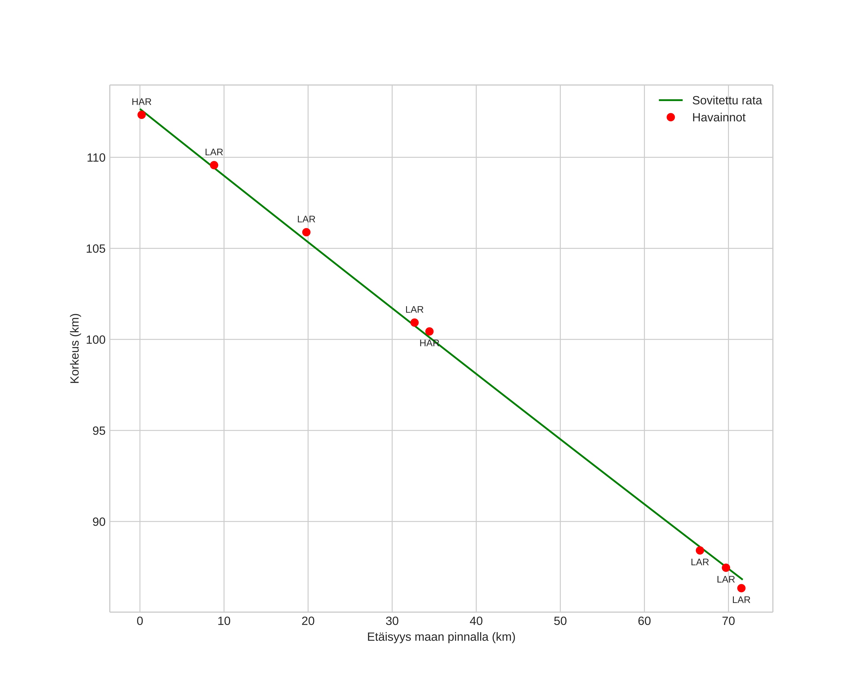
height profile
Meteorin ilmakehärata:
Alkukorkeus: 118,5 km
Loppukorkeus: 83,3 km
Alkupiste: 61,761N 13,289E
Loppupiste: 61,994N 11,946E
Suunta: 290,8°
Kallistuskulma: 25,1°
Tulonopeus: 70,6 km/s
Radiantin R,A,: 08:32 (128,0°)
Radiantin Dekl,: 12,5°
Meteoriparvi: Sporadinen
Meteoroidin rataelementit:
Perihelietäisyys: 0,748 AU
Eksentrisyys: 1,010
Inklinaatio: 168,3°
Nousevan solmun pituus: 18,9°
Perihelin argumentti: 300,1°
Keskianomalia: 0,1°
Epookki: 2024 OCT 12 02:14:55
orbit plot

Ei-interaktiivinen kuvaaja | Interaktiivinen kuvaaja

position vs time
speed and acceleration

Larvik (LAR) cam2

gnomonic
Videot:
• Alkuperäinen
Kuvat:
• Alkuperäinen
Tekstitiedostot:
• Havaintoraportti
• Observaatio
• Koordinaatit
• Loki
Kirkkaus