🇳🇴 🇬🇧 🇩🇪 🇨🇿 🇫🇮

Meteor über Engerdal 2024-10-12 02:14:55 UTC

KML-Datei  |  Interaktive Karte

Die Karte zeigt die Peilungen für den Meteor. Die helleren Linien zeigen die Richtungen von den Beobachtungsorten beim Erscheinen des Meteors, und die dunkleren Linien, wo er zuletzt gesehen wurde. Der blaue Pfeil zeigt die sichtbare Bahn des Meteors.

static map
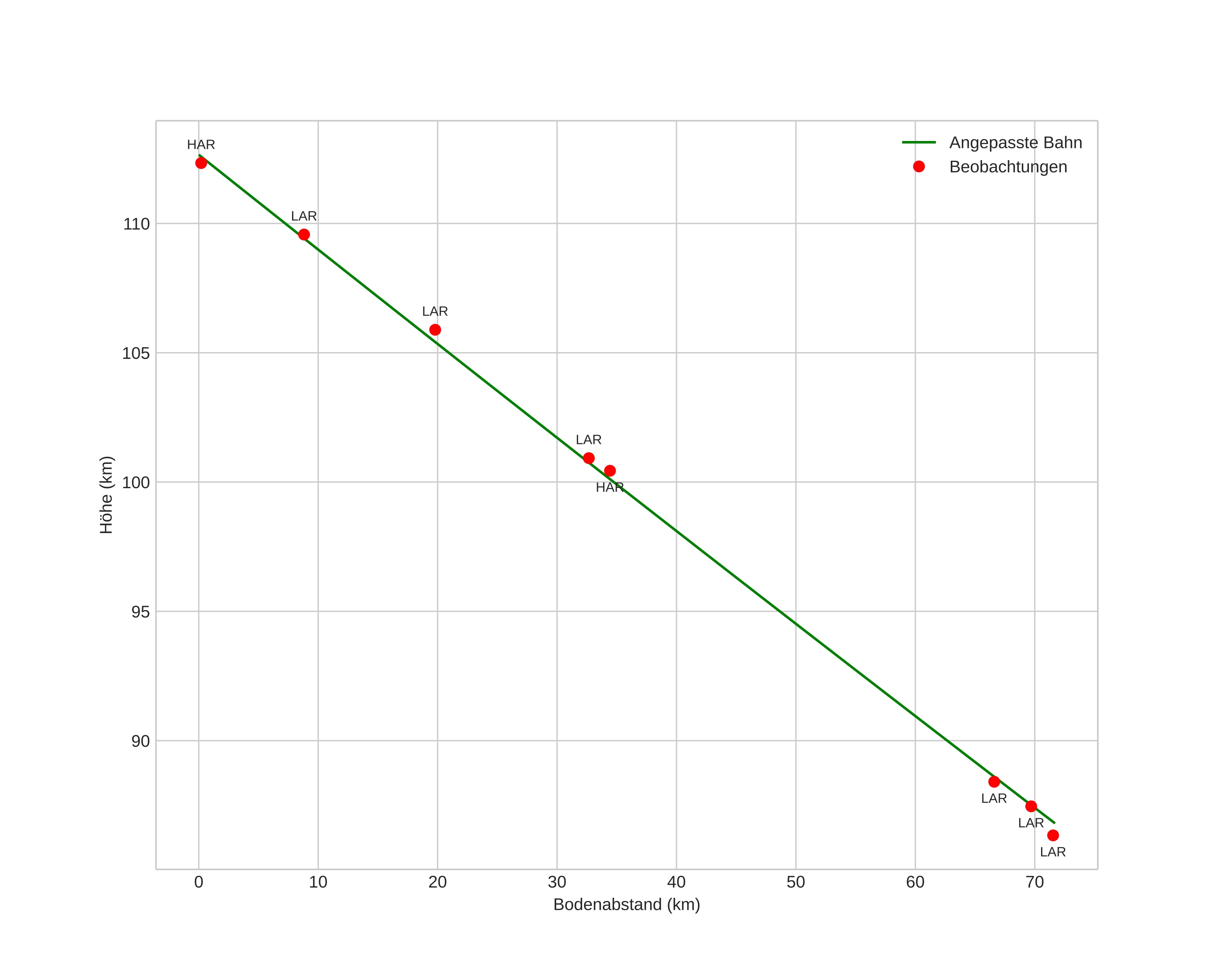
height profile
Atmosphärische Bahn des Meteors:
Anfangshöhe: 118,5 km
Endhöhe: 83,3 km
Startposition: 61,761N 13,289E
Endposition: 61,994N 11,946E
Richtung: 290,8°
Neigungswinkel: 25,1°
Eintrittsgeschwindigkeit: 70,6 km/s
Rektaszension des Radianten: 08:32 (128,0°)
Deklination des Radianten: 12,5°
Meteorstrom: sporadisch
Bahnelemente des Meteoroiden:
Periheldistanz: 0,748 AU
Exzentrizität: 1,010
Inklination: 168,3°
Länge des aufsteigenden Knotens: 18,9°
Argument des Perihels: 300,1°
Mittlere Anomalie: 0,1°
Epoche: 2024 OCT 12 02:14:55
orbit plot

Nicht-interaktives Diagramm | Interaktives Diagramm

position vs time
speed and acceleration

Larvik (LAR) cam2

gnomonic
Videos
• Original
Bilder
• Original
Textdateien
• Erkennung
• Beobachtung
• Koordinaten
• Protokoll
Helligkeit