🇳🇴 🇬🇧 🇩🇪 🇨🇿 🇫🇮

Meteor, poloha: Hov 2024-10-15 23:13:27 UTC

Soubor KML  |  InteraktivnĂ­ mapa

Mapa zobrazuje dráhy meteoru. Světlejší čáry ukazují směry od pozorovacích stanic při objevení se meteoru a tmavší čáry, kde byl naposledy viděn. Modrá šipka značí viditelnou dráhu meteoru.

static map
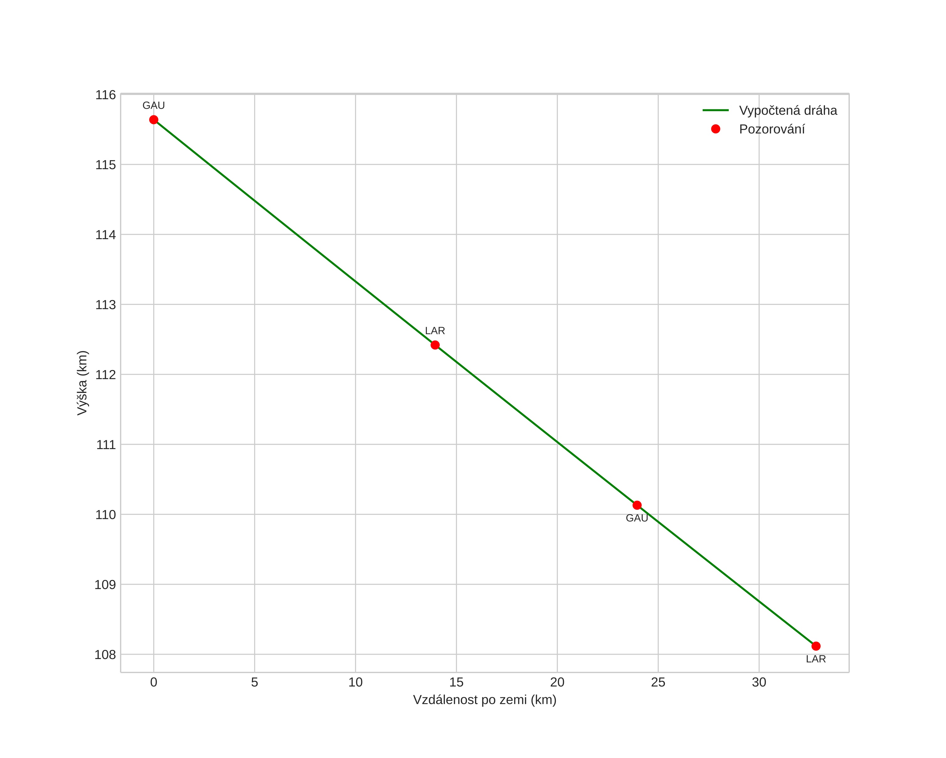
height profile
Atmosférická dráha meteoru:
Počáteční výška: 116,7 km
Konečná výška: 106,9 km
Počáteční poloha: 60,378N 10,805E
Konečná poloha: 60,504N 10,244E
Směr: 294,7°
Sklon: 16,2°
VstupnĂ­ rychlost: 45,6 km/s
Rektascenze radiantu: 05:40 (85,0°)
Deklinace radiantu: 1,3°
MeteorickĂ˝ roj: sporadickĂ˝
Elementy dráhy meteoroidu:
Vzdálenost v periheliu: 0,198 AU
Excentricita: 0,759
Sklon dráhy: 110,4°
Délka vzestupného uzlu: 22,7°
Argument perihelia: 149,0°
Střední anomálie: 295,5°
Epocha: 2024 OCT 15 23:13:27
orbit plot

NeinteraktivnĂ­ graf | InteraktivnĂ­ graf

position vs time
speed and acceleration

Larvik (LAR) cam1


gnomonic
Videa
• Gnomonická
• Gnomonická se souřadnicemi
• Původní
• Původní se souřadnicemi
Obrázky
• Gnomonická
• Gnomonická se souřadnicemi
• Gnomonická s popisky
• Původní
• Původní se souřadnicemi
Textové soubory
• Detekce
• Pozorování
• Souřadnice
• Protokol
Jasnost