🇳🇴 🇬🇧 🇩🇪 🇨🇿 🇫🇮

Meteor über Hov 2024-10-15 23:13:27 UTC

KML-Datei  |  Interaktive Karte

Die Karte zeigt die Peilungen für den Meteor. Die helleren Linien zeigen die Richtungen von den Beobachtungsorten beim Erscheinen des Meteors, und die dunkleren Linien, wo er zuletzt gesehen wurde. Der blaue Pfeil zeigt die sichtbare Bahn des Meteors.

static map
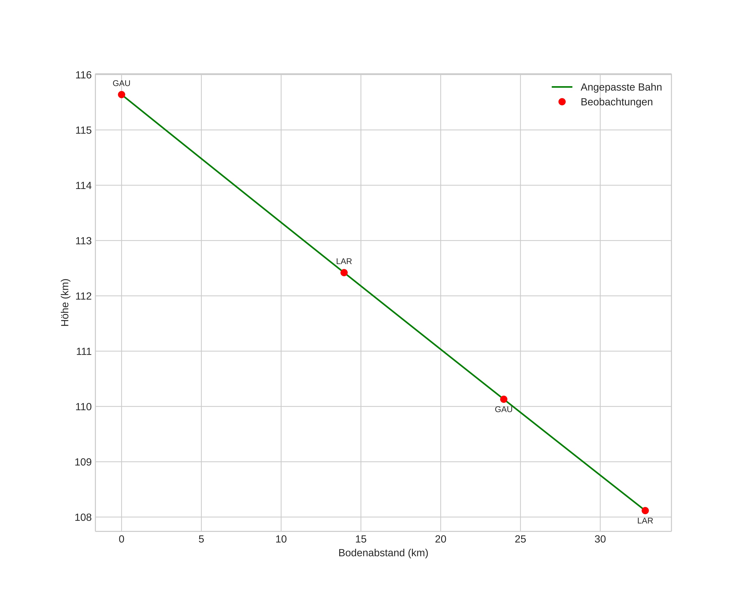
height profile
Atmosphärische Bahn des Meteors:
Anfangshöhe: 116,7 km
Endhöhe: 106,9 km
Startposition: 60,378N 10,805E
Endposition: 60,504N 10,244E
Richtung: 294,7°
Neigungswinkel: 16,2°
Eintrittsgeschwindigkeit: 45,6 km/s
Rektaszension des Radianten: 05:40 (85,0°)
Deklination des Radianten: 1,3°
Meteorstrom: sporadisch
Bahnelemente des Meteoroiden:
Periheldistanz: 0,198 AU
Exzentrizität: 0,759
Inklination: 110,4°
Länge des aufsteigenden Knotens: 22,7°
Argument des Perihels: 149,0°
Mittlere Anomalie: 295,5°
Epoche: 2024 OCT 15 23:13:27
orbit plot

Nicht-interaktives Diagramm | Interaktives Diagramm

position vs time
speed and acceleration

Larvik (LAR) cam1


gnomonic
Videos
• Gnomonisch
• Gnomonisch mit Koordinaten
• Original
• Original mit Koordinaten
Bilder
• Gnomonisch
• Gnomonisch mit Koordinaten
• Gnomonisch mit Beschriftungen
• Original
• Original mit Koordinaten
Textdateien
• Erkennung
• Beobachtung
• Koordinaten
• Protokoll
Helligkeit