🇳🇴 🇬🇧 🇩🇪 🇨🇿 🇫🇮

Meteor Hovin yllä 2024-10-15 23:13:27 UTC

KML-tiedosto  |  Interaktiivinen kartta

Kartta näyttää meteorin suuntahavainnot. Vaaleammat viivat näyttävät suunnat havaintoasemilta meteorin ilmestyessä, ja tummemmat viivat näyttävät, missä se viimeksi nähtiin. Sininen nuoli näyttää meteorin näkyvän lennon.

static map
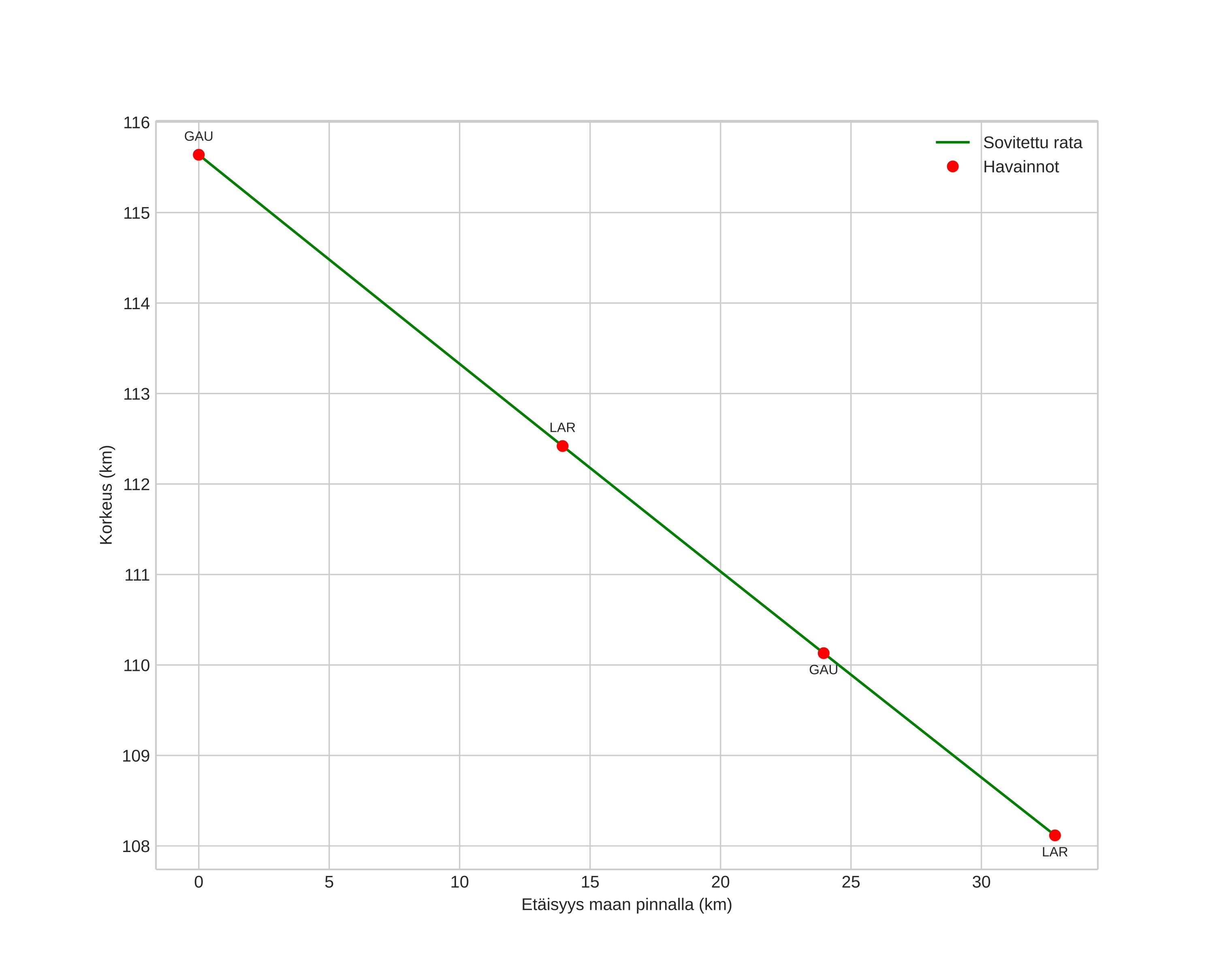
height profile
Meteorin ilmakehärata:
Alkukorkeus: 116,7 km
Loppukorkeus: 106,9 km
Alkupiste: 60,378N 10,805E
Loppupiste: 60,504N 10,244E
Suunta: 294,7°
Kallistuskulma: 16,2°
Tulonopeus: 45,6 km/s
Radiantin R,A,: 05:40 (85,0°)
Radiantin Dekl,: 1,3°
Meteoriparvi: Sporadinen
Meteoroidin rataelementit:
Perihelietäisyys: 0,198 AU
Eksentrisyys: 0,759
Inklinaatio: 110,4°
Nousevan solmun pituus: 22,7°
Perihelin argumentti: 149,0°
Keskianomalia: 295,5°
Epookki: 2024 OCT 15 23:13:27
orbit plot

Ei-interaktiivinen kuvaaja | Interaktiivinen kuvaaja

position vs time
speed and acceleration

Larvik (LAR) cam1


gnomonic
Videot:
• Gnomoninen
• Gnomoninen koordinaateilla
• Alkuperäinen
• Alkuperäinen koordinaateilla
Kuvat:
• Gnomoninen
• Gnomoninen koordinaateilla
• Gnomoninen merkinnöillä
• Alkuperäinen
• Alkuperäinen koordinaateilla
Tekstitiedostot:
• Havaintoraportti
• Observaatio
• Koordinaatit
• Loki
Kirkkaus