🇳🇴 🇬🇧 🇩🇪 🇨🇿 🇫🇮

Meteor, poloha: Skjønhaug 2024-10-16 01:05:26 UTC

Soubor KML  |  InteraktivnĂ­ mapa

Mapa zobrazuje dráhy meteoru. Světlejší čáry ukazují směry od pozorovacích stanic při objevení se meteoru a tmavší čáry, kde byl naposledy viděn. Modrá šipka značí viditelnou dráhu meteoru.

static map
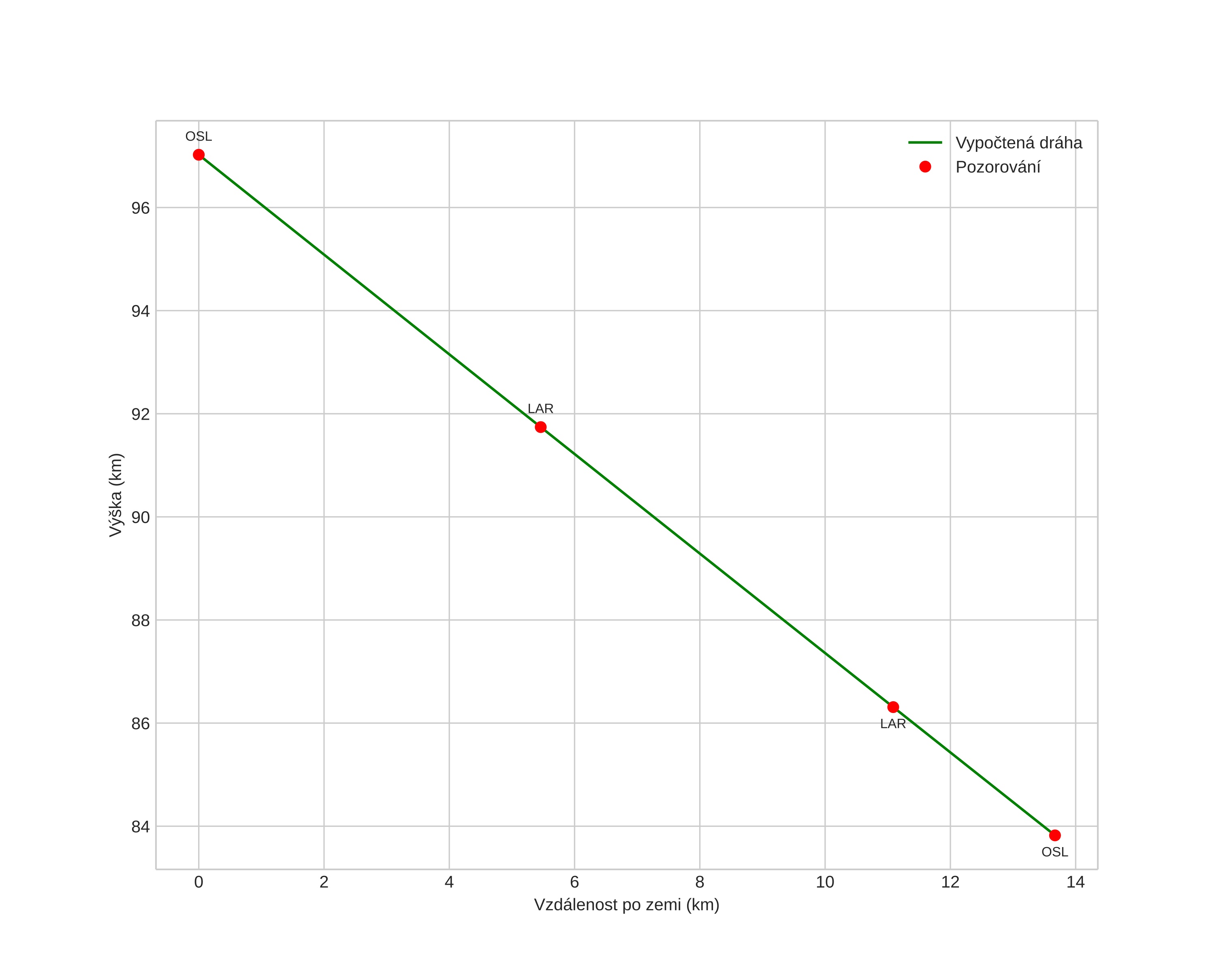
height profile
Atmosférická dráha meteoru:
Počáteční výška: 97,0 km
Konečná výška: 83,8 km
Počáteční poloha: 59,801N 11,270E
Konečná poloha: 59,685N 11,351E
Směr: 160,3°
Sklon: 44,1°
VstupnĂ­ rychlost: 24,3 km/s
Rektascenze radiantu: 18:24 (276,1°)
Deklinace radiantu: 67,5°
MeteorickĂ˝ roj: sporadickĂ˝
Elementy dráhy meteoroidu:
Vzdálenost v periheliu: 0,995 AU
Excentricita: 0,529
Sklon dráhy: 35,9°
Délka vzestupného uzlu: 202,8°
Argument perihelia: 186,5°
Střední anomálie: 358,3°
Epocha: 2024 OCT 16 01:05:26
orbit plot

NeinteraktivnĂ­ graf | InteraktivnĂ­ graf

position vs time
speed and acceleration

Larvik (LAR) cam2

gnomonic
Videa
• Původní
Obrázky
• Původní
Textové soubory
• Detekce
• Pozorování
• Souřadnice
• Protokol
Jasnost