🇳🇴 🇬🇧 🇩🇪 🇨🇿 🇫🇮

Meteor über Skjønhaug 2024-10-16 01:05:26 UTC

KML-Datei  |  Interaktive Karte

Die Karte zeigt die Peilungen für den Meteor. Die helleren Linien zeigen die Richtungen von den Beobachtungsorten beim Erscheinen des Meteors, und die dunkleren Linien, wo er zuletzt gesehen wurde. Der blaue Pfeil zeigt die sichtbare Bahn des Meteors.

static map
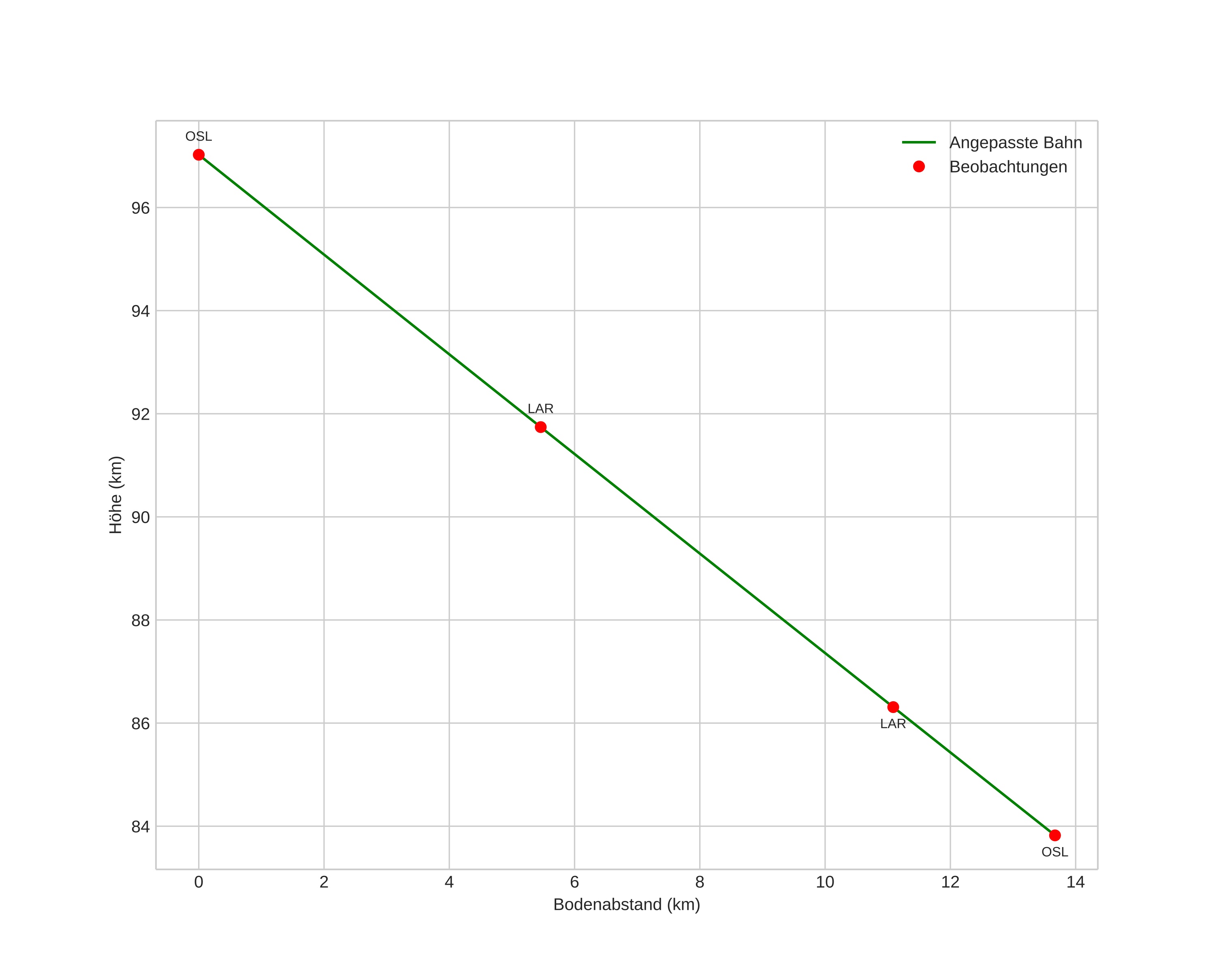
height profile
Atmosphärische Bahn des Meteors:
Anfangshöhe: 97,0 km
Endhöhe: 83,8 km
Startposition: 59,801N 11,270E
Endposition: 59,685N 11,351E
Richtung: 160,3°
Neigungswinkel: 44,1°
Eintrittsgeschwindigkeit: 24,3 km/s
Rektaszension des Radianten: 18:24 (276,1°)
Deklination des Radianten: 67,5°
Meteorstrom: sporadisch
Bahnelemente des Meteoroiden:
Periheldistanz: 0,995 AU
Exzentrizität: 0,529
Inklination: 35,9°
Länge des aufsteigenden Knotens: 202,8°
Argument des Perihels: 186,5°
Mittlere Anomalie: 358,3°
Epoche: 2024 OCT 16 01:05:26
orbit plot

Nicht-interaktives Diagramm | Interaktives Diagramm

position vs time
speed and acceleration

Larvik (LAR) cam2

gnomonic
Videos
• Original
Bilder
• Original
Textdateien
• Erkennung
• Beobachtung
• Koordinaten
• Protokoll
Helligkeit