🇳🇴 🇬🇧 🇩🇪 🇨🇿 🇫🇮

Meteor Skjønhaugin yllä 2024-10-16 01:05:26 UTC

KML-tiedosto  |  Interaktiivinen kartta

Kartta näyttää meteorin suuntahavainnot. Vaaleammat viivat näyttävät suunnat havaintoasemilta meteorin ilmestyessä, ja tummemmat viivat näyttävät, missä se viimeksi nähtiin. Sininen nuoli näyttää meteorin näkyvän lennon.

static map
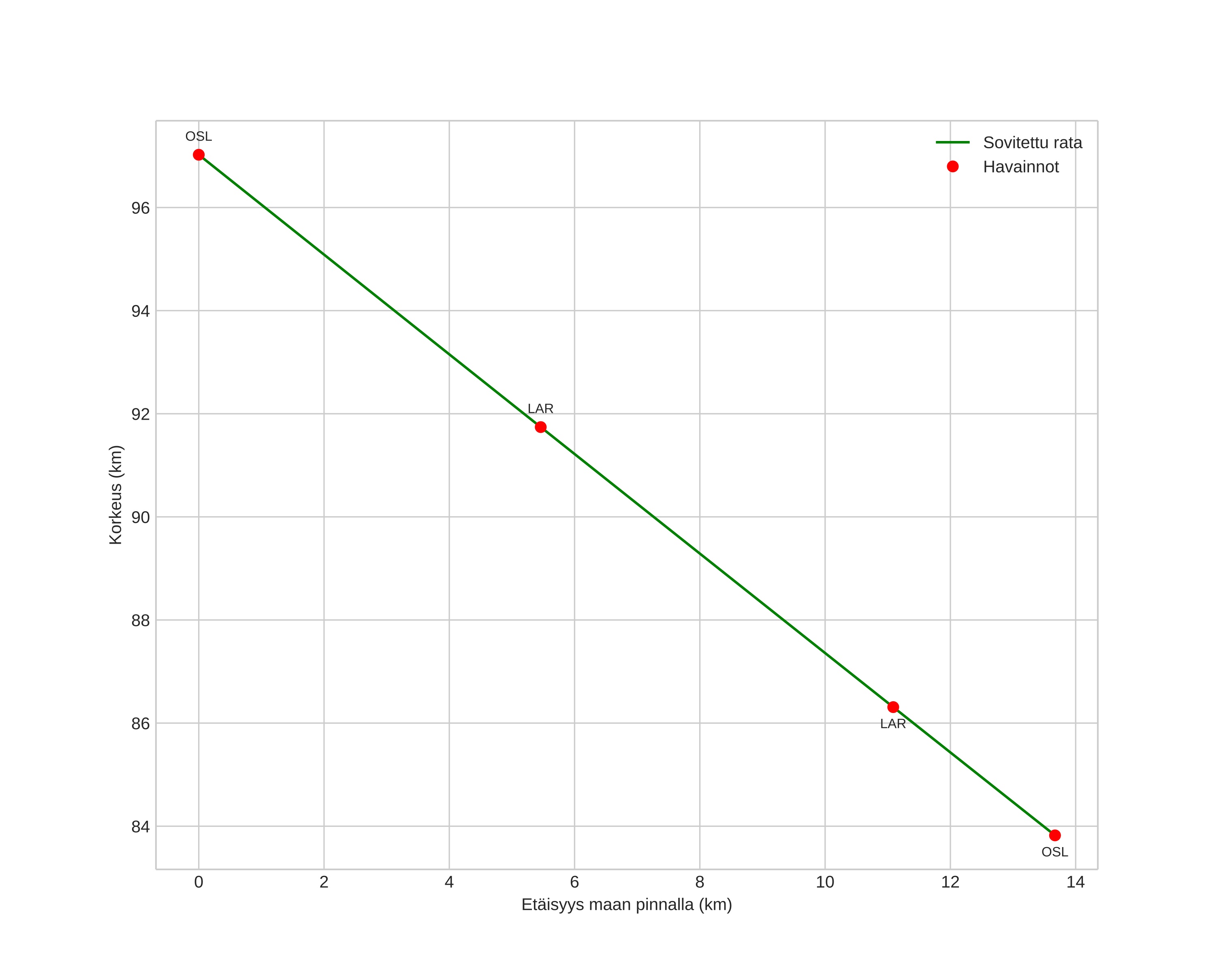
height profile
Meteorin ilmakehärata:
Alkukorkeus: 97,0 km
Loppukorkeus: 83,8 km
Alkupiste: 59,801N 11,270E
Loppupiste: 59,685N 11,351E
Suunta: 160,3°
Kallistuskulma: 44,1°
Tulonopeus: 24,3 km/s
Radiantin R,A,: 18:24 (276,1°)
Radiantin Dekl,: 67,5°
Meteoriparvi: Sporadinen
Meteoroidin rataelementit:
Perihelietäisyys: 0,995 AU
Eksentrisyys: 0,529
Inklinaatio: 35,9°
Nousevan solmun pituus: 202,8°
Perihelin argumentti: 186,5°
Keskianomalia: 358,3°
Epookki: 2024 OCT 16 01:05:26
orbit plot

Ei-interaktiivinen kuvaaja | Interaktiivinen kuvaaja

position vs time
speed and acceleration

Larvik (LAR) cam2

gnomonic
Videot:
• Alkuperäinen
Kuvat:
• Alkuperäinen
Tekstitiedostot:
• Havaintoraportti
• Observaatio
• Koordinaatit
• Loki
Kirkkaus