🇳🇴 🇬🇧 🇩🇪 🇨🇿 🇫🇮

Meteor, poloha: Finnsnes 2024-10-26 20:18:05 UTC

Soubor KML  |  InteraktivnĂ­ mapa

Mapa zobrazuje dráhy meteoru. Světlejší čáry ukazují směry od pozorovacích stanic při objevení se meteoru a tmavší čáry, kde byl naposledy viděn. Modrá šipka značí viditelnou dráhu meteoru.

static map
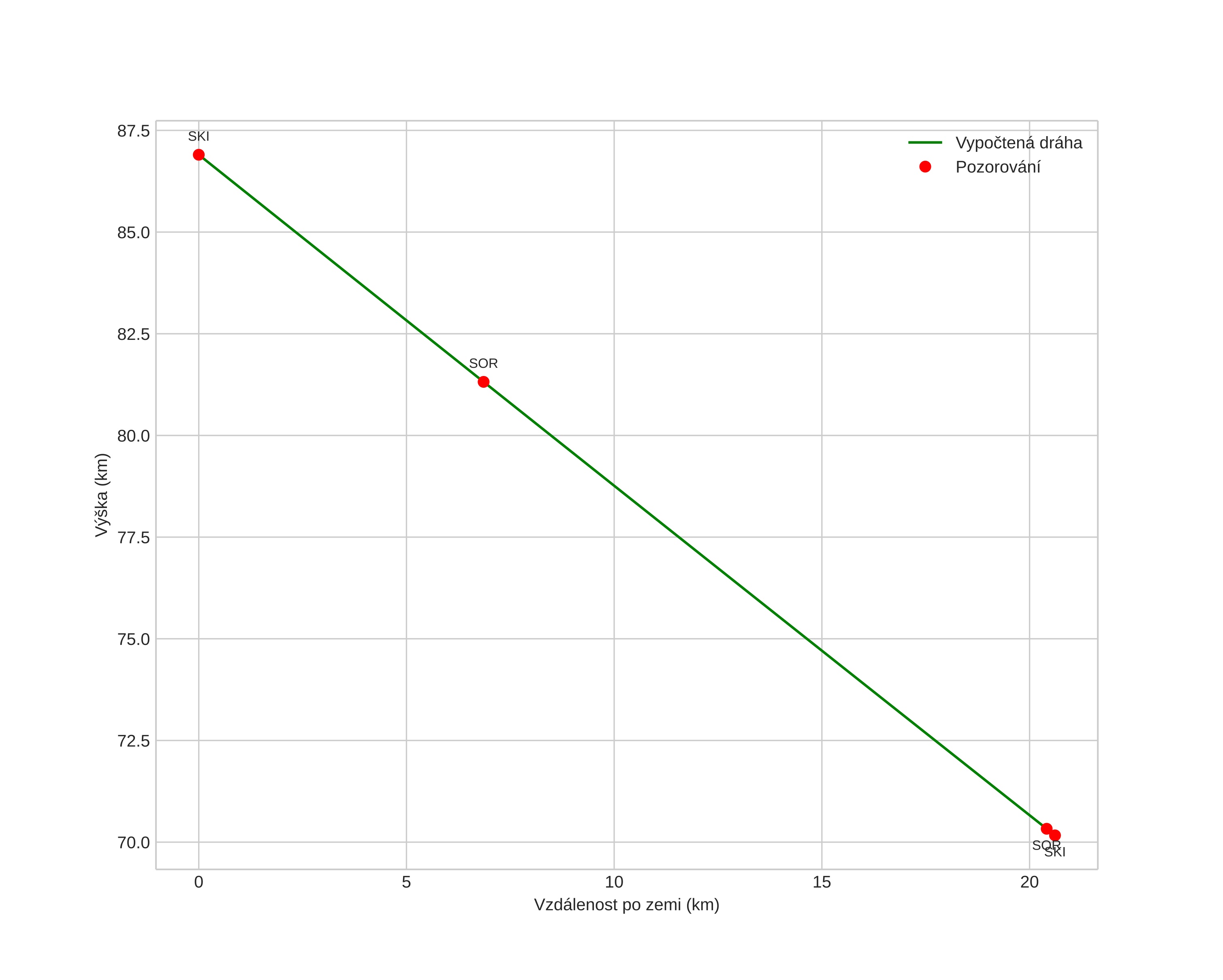
height profile
Atmosférická dráha meteoru:
Počáteční výška: 86,9 km
Konečná výška: 70,1 km
Počáteční poloha: 69,103N 18,151E
Konečná poloha: 69,288N 18,106E
Směr: 355,1°
Sklon: 39,2°
VstupnĂ­ rychlost: 19,0 km/s
Rektascenze radiantu: 00:06 (1,6°)
Deklinace radiantu: 12,5°
MeteorickĂ˝ roj: sporadickĂ˝
Elementy dráhy meteoroidu:
Vzdálenost v periheliu: 0,853 AU
Excentricita: 0,781
Sklon dráhy: 4,5°
Délka vzestupného uzlu: 213,5°
Argument perihelia: 227,4°
Střední anomálie: 356,0°
Epocha: 2024 OCT 26 20:18:05
orbit plot

NeinteraktivnĂ­ graf | InteraktivnĂ­ graf

position vs time
speed and acceleration