🇳🇴 🇬🇧 🇩🇪 🇨🇿 🇫🇮

Meteor Finnsnesin yllä 2024-10-26 20:18:05 UTC

KML-tiedosto  |  Interaktiivinen kartta

Kartta näyttää meteorin suuntahavainnot. Vaaleammat viivat näyttävät suunnat havaintoasemilta meteorin ilmestyessä, ja tummemmat viivat näyttävät, missä se viimeksi nähtiin. Sininen nuoli näyttää meteorin näkyvän lennon.

static map
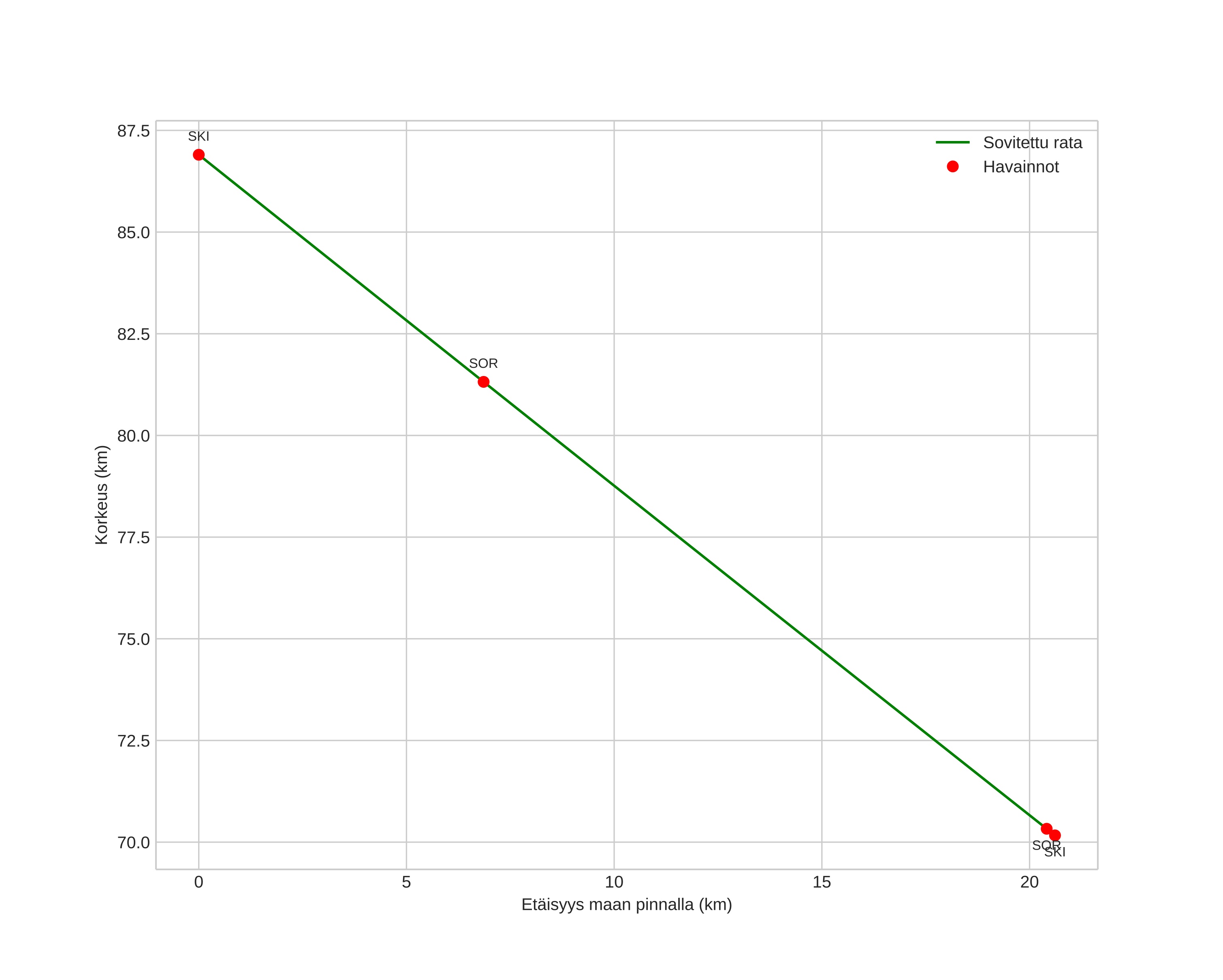
height profile
Meteorin ilmakehärata:
Alkukorkeus: 86,9 km
Loppukorkeus: 70,1 km
Alkupiste: 69,103N 18,151E
Loppupiste: 69,288N 18,106E
Suunta: 355,1°
Kallistuskulma: 39,2°
Tulonopeus: 19,0 km/s
Radiantin R,A,: 00:06 (1,6°)
Radiantin Dekl,: 12,5°
Meteoriparvi: Sporadinen
Meteoroidin rataelementit:
Perihelietäisyys: 0,853 AU
Eksentrisyys: 0,781
Inklinaatio: 4,5°
Nousevan solmun pituus: 213,5°
Perihelin argumentti: 227,4°
Keskianomalia: 356,0°
Epookki: 2024 OCT 26 20:18:05
orbit plot

Ei-interaktiivinen kuvaaja | Interaktiivinen kuvaaja

position vs time
speed and acceleration