🇳🇴 🇬🇧 🇩🇪 🇨🇿 🇫🇮

Meteor über Finnsnes 2024-10-26 20:18:05 UTC

KML-Datei  |  Interaktive Karte

Die Karte zeigt die Peilungen für den Meteor. Die helleren Linien zeigen die Richtungen von den Beobachtungsorten beim Erscheinen des Meteors, und die dunkleren Linien, wo er zuletzt gesehen wurde. Der blaue Pfeil zeigt die sichtbare Bahn des Meteors.

static map
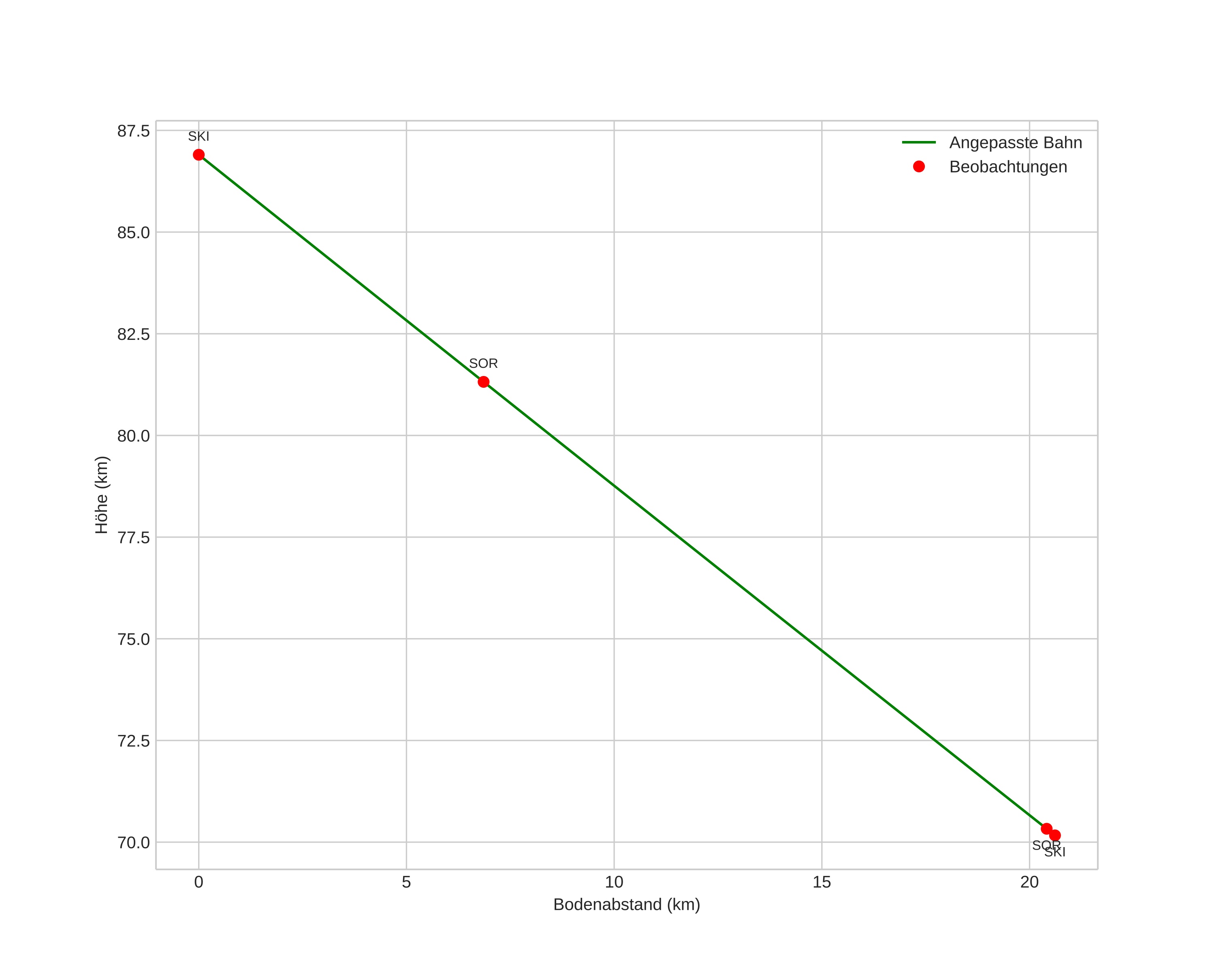
height profile
Atmosphärische Bahn des Meteors:
Anfangshöhe: 86,9 km
Endhöhe: 70,1 km
Startposition: 69,103N 18,151E
Endposition: 69,288N 18,106E
Richtung: 355,1°
Neigungswinkel: 39,2°
Eintrittsgeschwindigkeit: 19,0 km/s
Rektaszension des Radianten: 00:06 (1,6°)
Deklination des Radianten: 12,5°
Meteorstrom: sporadisch
Bahnelemente des Meteoroiden:
Periheldistanz: 0,853 AU
Exzentrizität: 0,781
Inklination: 4,5°
Länge des aufsteigenden Knotens: 213,5°
Argument des Perihels: 227,4°
Mittlere Anomalie: 356,0°
Epoche: 2024 OCT 26 20:18:05
orbit plot

Nicht-interaktives Diagramm | Interaktives Diagramm

position vs time
speed and acceleration