🇳🇴 🇬🇧 🇩🇪 🇨🇿 🇫🇮

Meteor, poloha: Skärhamn 2024-10-28 21:08:07 UTC

Soubor KML  |  InteraktivnĂ­ mapa

Mapa zobrazuje dráhy meteoru. Světlejší čáry ukazují směry od pozorovacích stanic při objevení se meteoru a tmavší čáry, kde byl naposledy viděn. Modrá šipka značí viditelnou dráhu meteoru.

static map
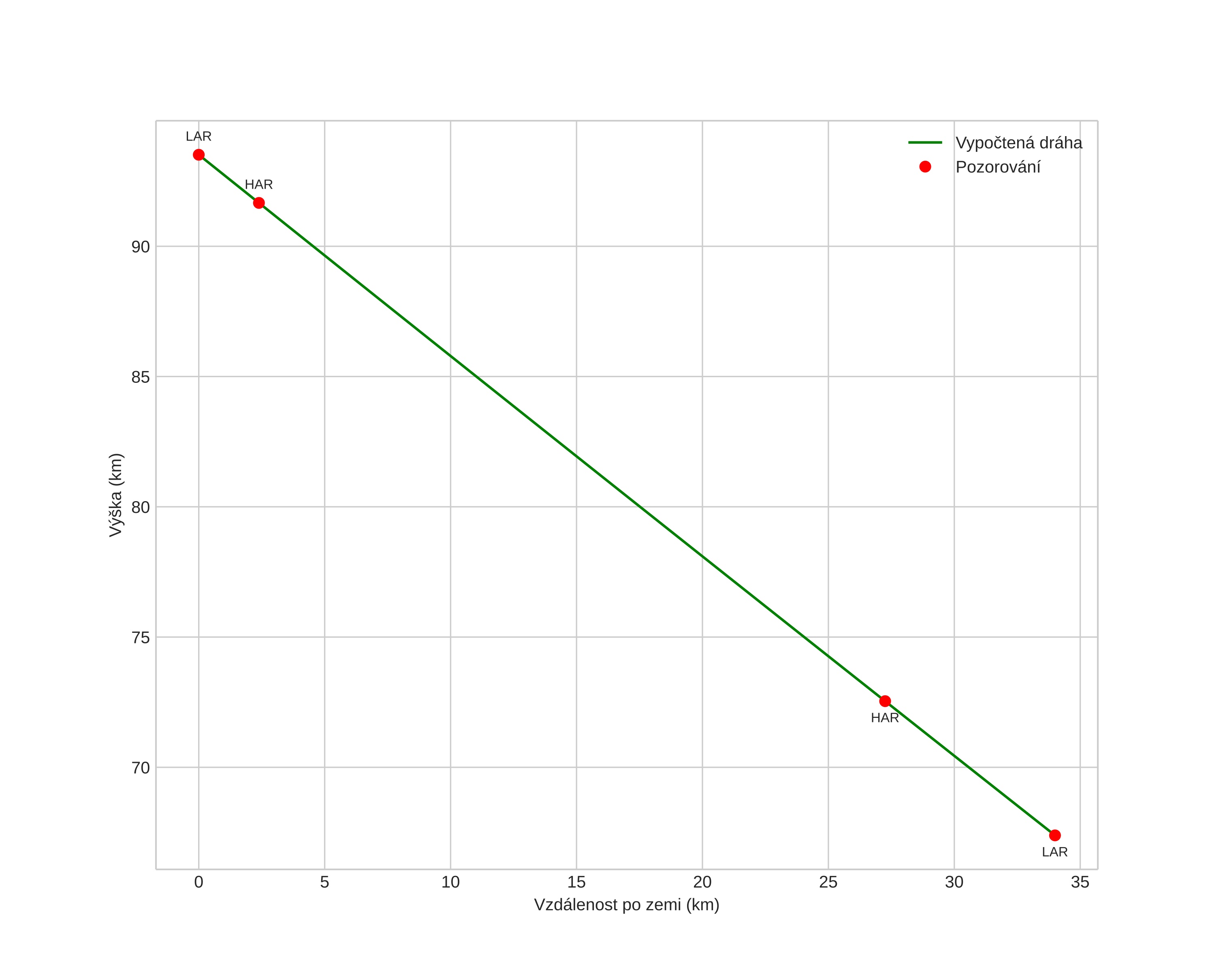
height profile
Atmosférická dráha meteoru:
Počáteční výška: 90,4 km
Konečná výška: 65,2 km
Počáteční poloha: 57,619N 11,579E
Konečná poloha: 57,783N 11,138E
Směr: 305,1°
Sklon: 38,3°
VstupnĂ­ rychlost: 25,1 km/s
Rektascenze radiantu: 03:15 (48,8°)
Deklinace radiantu: 13,5°
MeteorickĂ˝ roj: JiĹľnĂ­ Tauridy
Elementy dráhy meteoroidu:
Vzdálenost v periheliu: 0,396 AU
Excentricita: 0,687
Sklon dráhy: 4,0°
Délka vzestupného uzlu: 35,6°
Argument perihelia: 118,5°
Střední anomálie: 325,6°
Epocha: 2024 OCT 28 21:08:07
orbit plot

NeinteraktivnĂ­ graf | InteraktivnĂ­ graf

position vs time
speed and acceleration