🇳🇴 🇬🇧 🇩🇪 🇨🇿 🇫🇮

Meteor über Skärhamn 2024-10-28 21:08:07 UTC

KML-Datei  |  Interaktive Karte

Die Karte zeigt die Peilungen für den Meteor. Die helleren Linien zeigen die Richtungen von den Beobachtungsorten beim Erscheinen des Meteors, und die dunkleren Linien, wo er zuletzt gesehen wurde. Der blaue Pfeil zeigt die sichtbare Bahn des Meteors.

static map
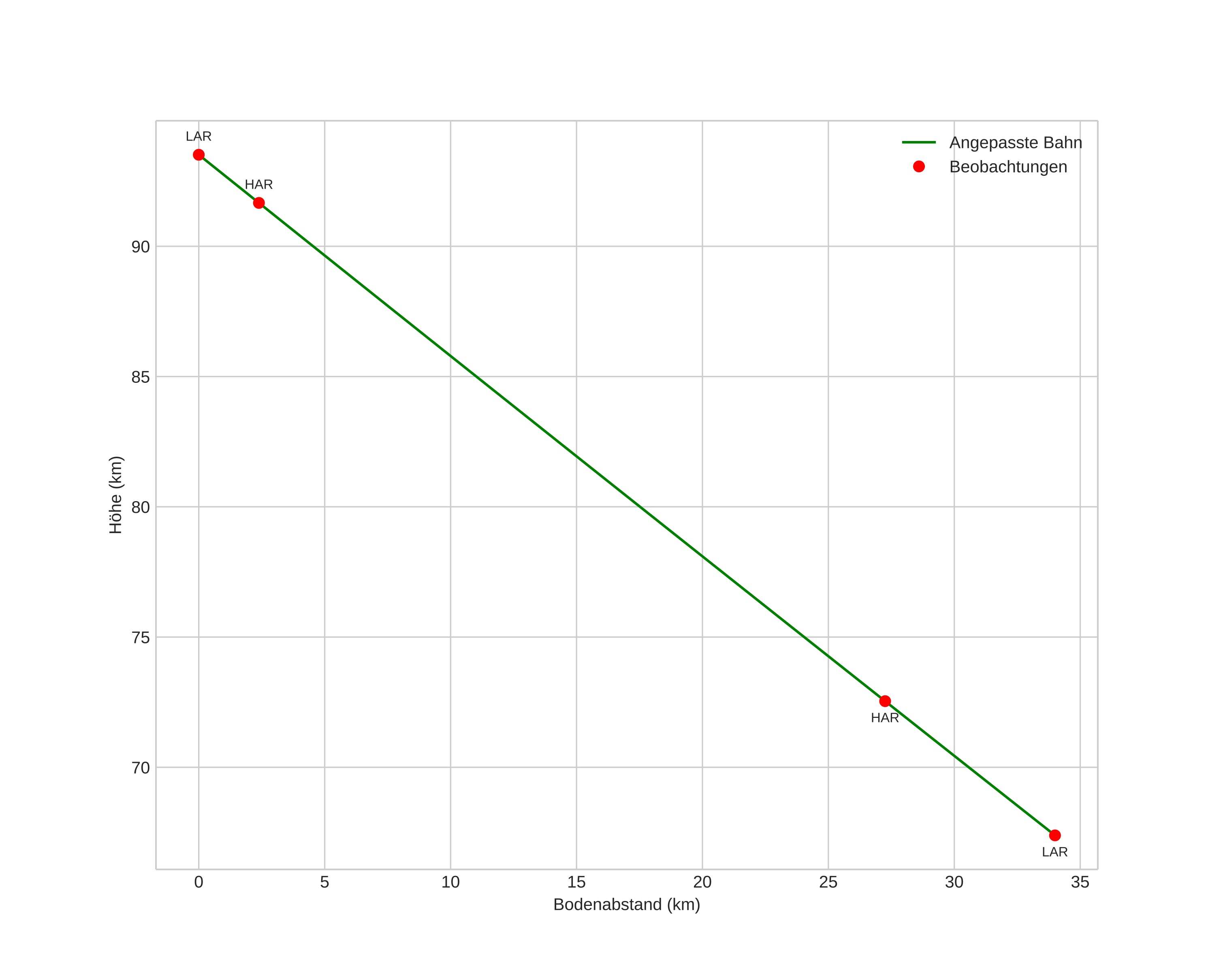
height profile
Atmosphärische Bahn des Meteors:
Anfangshöhe: 90,4 km
Endhöhe: 65,2 km
Startposition: 57,619N 11,579E
Endposition: 57,783N 11,138E
Richtung: 305,1°
Neigungswinkel: 38,3°
Eintrittsgeschwindigkeit: 25,1 km/s
Rektaszension des Radianten: 03:15 (48,8°)
Deklination des Radianten: 13,5°
Meteorstrom: Südliche Tauriden
Bahnelemente des Meteoroiden:
Periheldistanz: 0,396 AU
Exzentrizität: 0,687
Inklination: 4,0°
Länge des aufsteigenden Knotens: 35,6°
Argument des Perihels: 118,5°
Mittlere Anomalie: 325,6°
Epoche: 2024 OCT 28 21:08:07
orbit plot

Nicht-interaktives Diagramm | Interaktives Diagramm

position vs time
speed and acceleration