🇳🇴 🇬🇧 🇩🇪 🇨🇿 🇫🇮

Meteor Skärhamnin yllä 2024-10-28 21:08:07 UTC

KML-tiedosto  |  Interaktiivinen kartta

Kartta näyttää meteorin suuntahavainnot. Vaaleammat viivat näyttävät suunnat havaintoasemilta meteorin ilmestyessä, ja tummemmat viivat näyttävät, missä se viimeksi nähtiin. Sininen nuoli näyttää meteorin näkyvän lennon.

static map
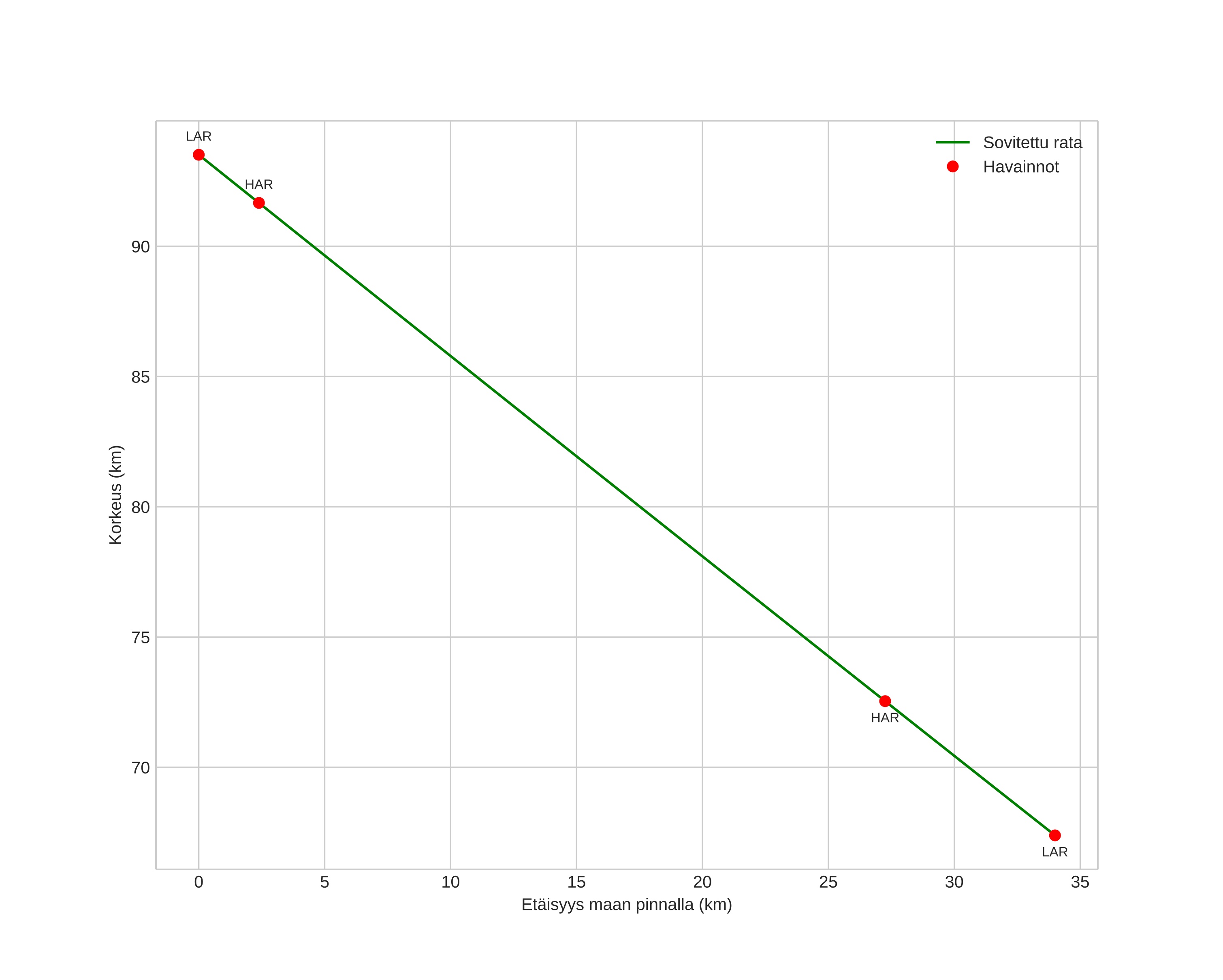
height profile
Meteorin ilmakehärata:
Alkukorkeus: 90,4 km
Loppukorkeus: 65,2 km
Alkupiste: 57,619N 11,579E
Loppupiste: 57,783N 11,138E
Suunta: 305,1°
Kallistuskulma: 38,3°
Tulonopeus: 25,1 km/s
Radiantin R,A,: 03:15 (48,8°)
Radiantin Dekl,: 13,5°
Meteoriparvi: Eteläiset tauridit
Meteoroidin rataelementit:
Perihelietäisyys: 0,396 AU
Eksentrisyys: 0,687
Inklinaatio: 4,0°
Nousevan solmun pituus: 35,6°
Perihelin argumentti: 118,5°
Keskianomalia: 325,6°
Epookki: 2024 OCT 28 21:08:07
orbit plot

Ei-interaktiivinen kuvaaja | Interaktiivinen kuvaaja

position vs time
speed and acceleration