🇳🇴 🇬🇧 🇩🇪 🇨🇿 🇫🇮

Meteor, poloha: Siljan 2024-10-28 23:05:11 UTC

Soubor KML  |  InteraktivnĂ­ mapa

Mapa zobrazuje dráhy meteoru. Světlejší čáry ukazují směry od pozorovacích stanic při objevení se meteoru a tmavší čáry, kde byl naposledy viděn. Modrá šipka značí viditelnou dráhu meteoru.

static map
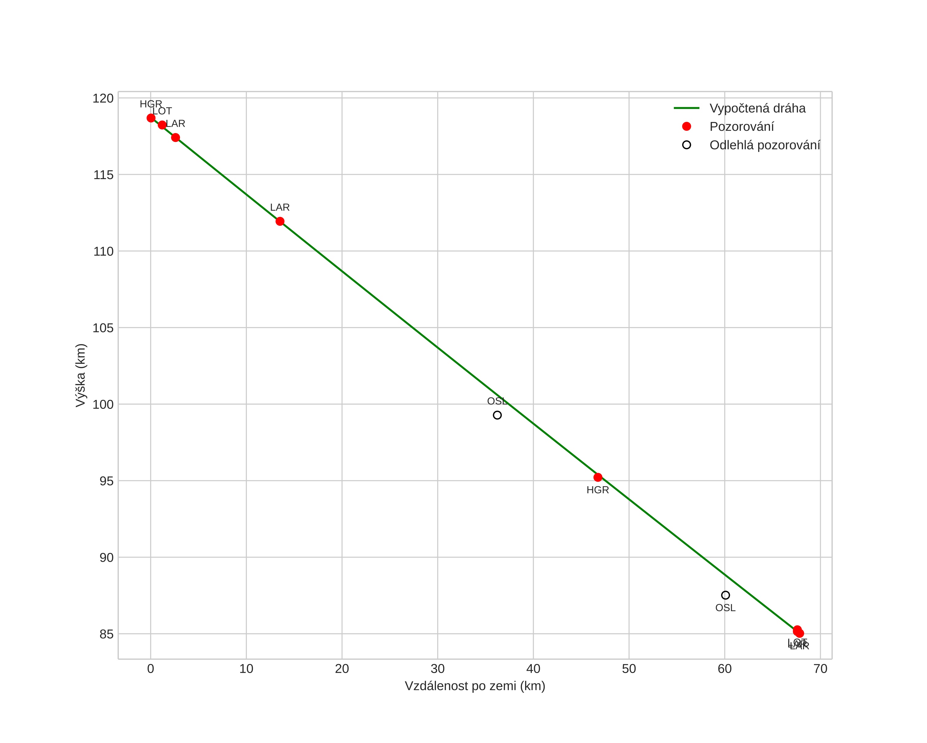
height profile
Atmosférická dráha meteoru:
Počáteční výška: 119,1 km
Konečná výška: 84,8 km
Počáteční poloha: 59,334N 10,796E
Konečná poloha: 59,355N 9,587E
Směr: 272,5°
Sklon: 26,6°
VstupnĂ­ rychlost: 73,0 km/s
Rektascenze radiantu: 07:12 (108,2°)
Deklinace radiantu: 21,1°
MeteorickĂ˝ roj: Orionidy
Elementy dráhy meteoroidu:
Vzdálenost v periheliu: 0,741 AU
Excentricita: 1,187
Sklon dráhy: 177,6°
Délka vzestupného uzlu: 35,6°
Argument perihelia: 57,9°
Střední anomálie: -3,9°
Epocha: 2024 OCT 28 23:05:11
orbit plot

NeinteraktivnĂ­ graf | InteraktivnĂ­ graf

position vs time
speed and acceleration

Hagar (HGR) cam4


gnomonic
Videa
• Gnomonická
• Gnomonická se souřadnicemi
• Původní
• Původní se souřadnicemi
Obrázky
• Gnomonická
• Gnomonická se souřadnicemi
• Gnomonická s popisky
• Původní
• Původní se souřadnicemi
Textové soubory
• Detekce
• Pozorování
• Souřadnice
• Protokol
Jasnost