🇳🇴 🇬🇧 🇩🇪 🇨🇿 🇫🇮

Meteor über Siljan 2024-10-28 23:05:11 UTC

KML-Datei  |  Interaktive Karte

Die Karte zeigt die Peilungen für den Meteor. Die helleren Linien zeigen die Richtungen von den Beobachtungsorten beim Erscheinen des Meteors, und die dunkleren Linien, wo er zuletzt gesehen wurde. Der blaue Pfeil zeigt die sichtbare Bahn des Meteors.

static map
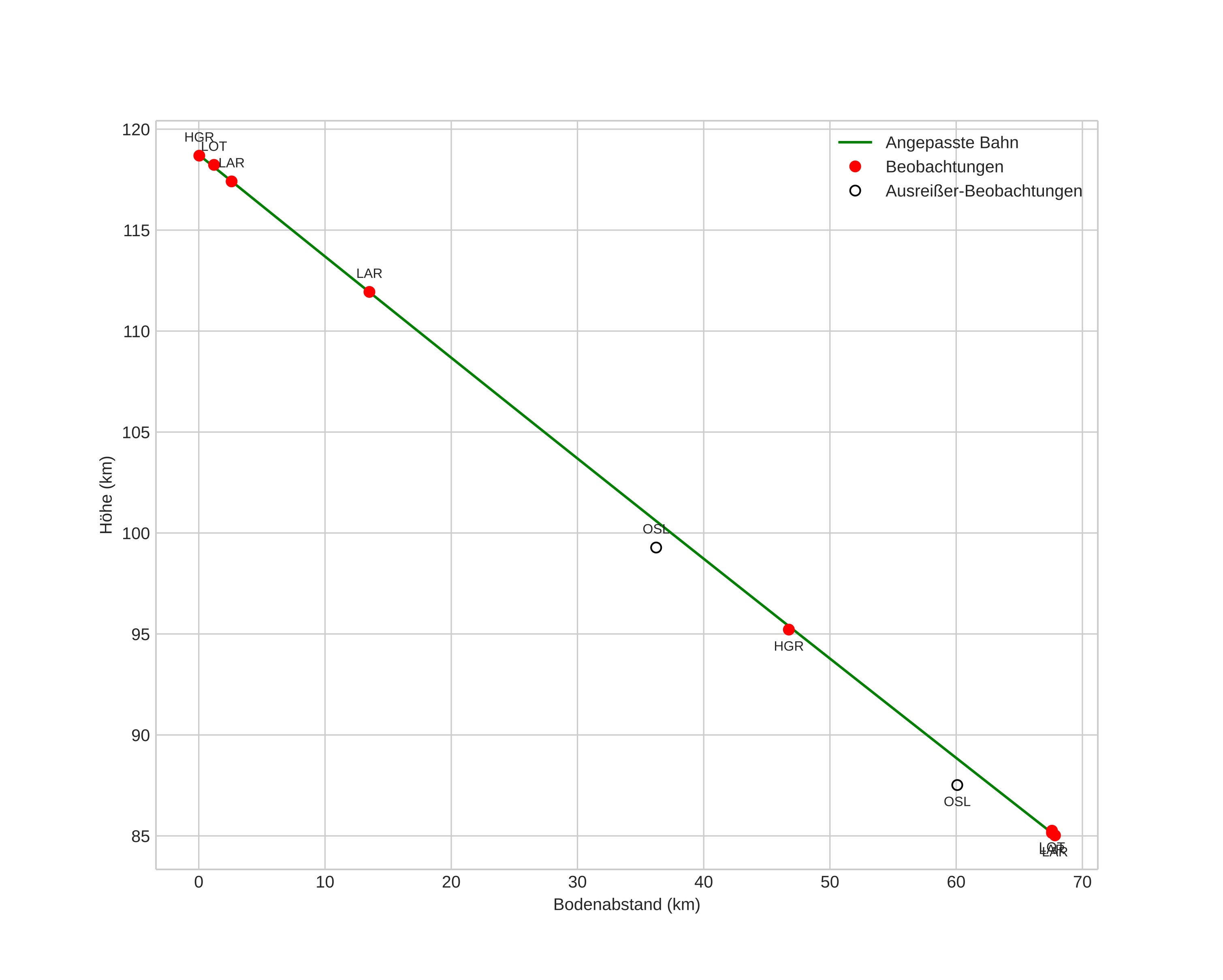
height profile
Atmosphärische Bahn des Meteors:
Anfangshöhe: 119,1 km
Endhöhe: 84,8 km
Startposition: 59,334N 10,796E
Endposition: 59,355N 9,587E
Richtung: 272,5°
Neigungswinkel: 26,6°
Eintrittsgeschwindigkeit: 73,0 km/s
Rektaszension des Radianten: 07:12 (108,2°)
Deklination des Radianten: 21,1°
Meteorstrom: Orioniden
Bahnelemente des Meteoroiden:
Periheldistanz: 0,741 AU
Exzentrizität: 1,187
Inklination: 177,6°
Länge des aufsteigenden Knotens: 35,6°
Argument des Perihels: 57,9°
Mittlere Anomalie: -3,9°
Epoche: 2024 OCT 28 23:05:11
orbit plot

Nicht-interaktives Diagramm | Interaktives Diagramm

position vs time
speed and acceleration

Hagar (HGR) cam4


gnomonic
Videos
• Gnomonisch
• Gnomonisch mit Koordinaten
• Original
• Original mit Koordinaten
Bilder
• Gnomonisch
• Gnomonisch mit Koordinaten
• Gnomonisch mit Beschriftungen
• Original
• Original mit Koordinaten
Textdateien
• Erkennung
• Beobachtung
• Koordinaten
• Protokoll
Helligkeit