🇳🇴 🇬🇧 🇩🇪 🇨🇿 🇫🇮

Meteor Siljanin yllä 2024-10-28 23:05:11 UTC

KML-tiedosto  |  Interaktiivinen kartta

Kartta näyttää meteorin suuntahavainnot. Vaaleammat viivat näyttävät suunnat havaintoasemilta meteorin ilmestyessä, ja tummemmat viivat näyttävät, missä se viimeksi nähtiin. Sininen nuoli näyttää meteorin näkyvän lennon.

static map
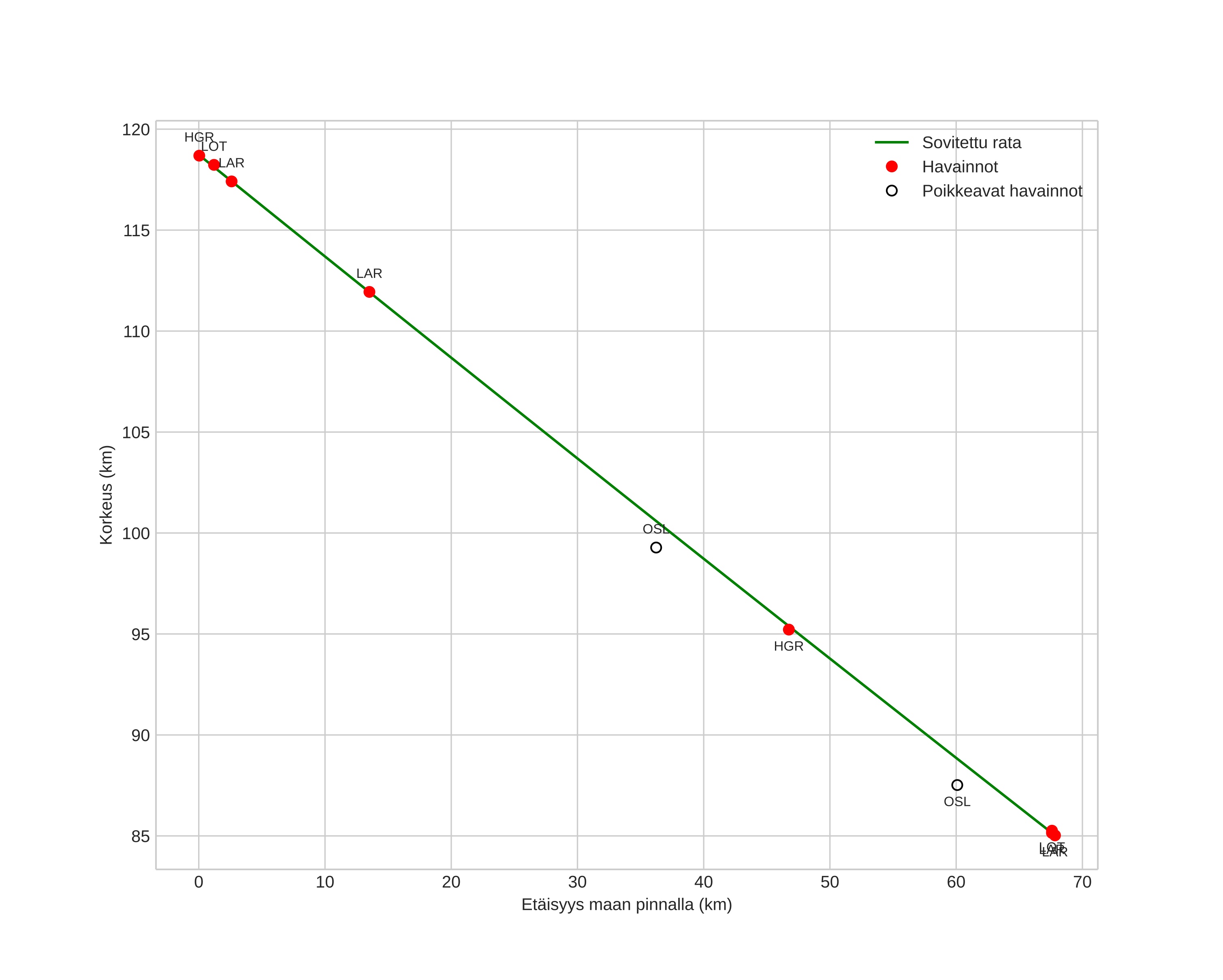
height profile
Meteorin ilmakehärata:
Alkukorkeus: 119,1 km
Loppukorkeus: 84,8 km
Alkupiste: 59,334N 10,796E
Loppupiste: 59,355N 9,587E
Suunta: 272,5°
Kallistuskulma: 26,6°
Tulonopeus: 73,0 km/s
Radiantin R,A,: 07:12 (108,2°)
Radiantin Dekl,: 21,1°
Meteoriparvi: Orionidit
Meteoroidin rataelementit:
Perihelietäisyys: 0,741 AU
Eksentrisyys: 1,187
Inklinaatio: 177,6°
Nousevan solmun pituus: 35,6°
Perihelin argumentti: 57,9°
Keskianomalia: -3,9°
Epookki: 2024 OCT 28 23:05:11
orbit plot

Ei-interaktiivinen kuvaaja | Interaktiivinen kuvaaja

position vs time
speed and acceleration

Hagar (HGR) cam4


gnomonic
Videot:
• Gnomoninen
• Gnomoninen koordinaateilla
• Alkuperäinen
• Alkuperäinen koordinaateilla
Kuvat:
• Gnomoninen
• Gnomoninen koordinaateilla
• Gnomoninen merkinnöillä
• Alkuperäinen
• Alkuperäinen koordinaateilla
Tekstitiedostot:
• Havaintoraportti
• Observaatio
• Koordinaatit
• Loki
Kirkkaus