🇳🇴 🇬🇧 🇩🇪 🇨🇿 🇫🇮

Meteor, poloha: Sjølyststranda 2024-10-31 18:41:49 UTC

Soubor KML  |  InteraktivnĂ­ mapa

Mapa zobrazuje dráhy meteoru. Světlejší čáry ukazují směry od pozorovacích stanic při objevení se meteoru a tmavší čáry, kde byl naposledy viděn. Modrá šipka značí viditelnou dráhu meteoru.

static map
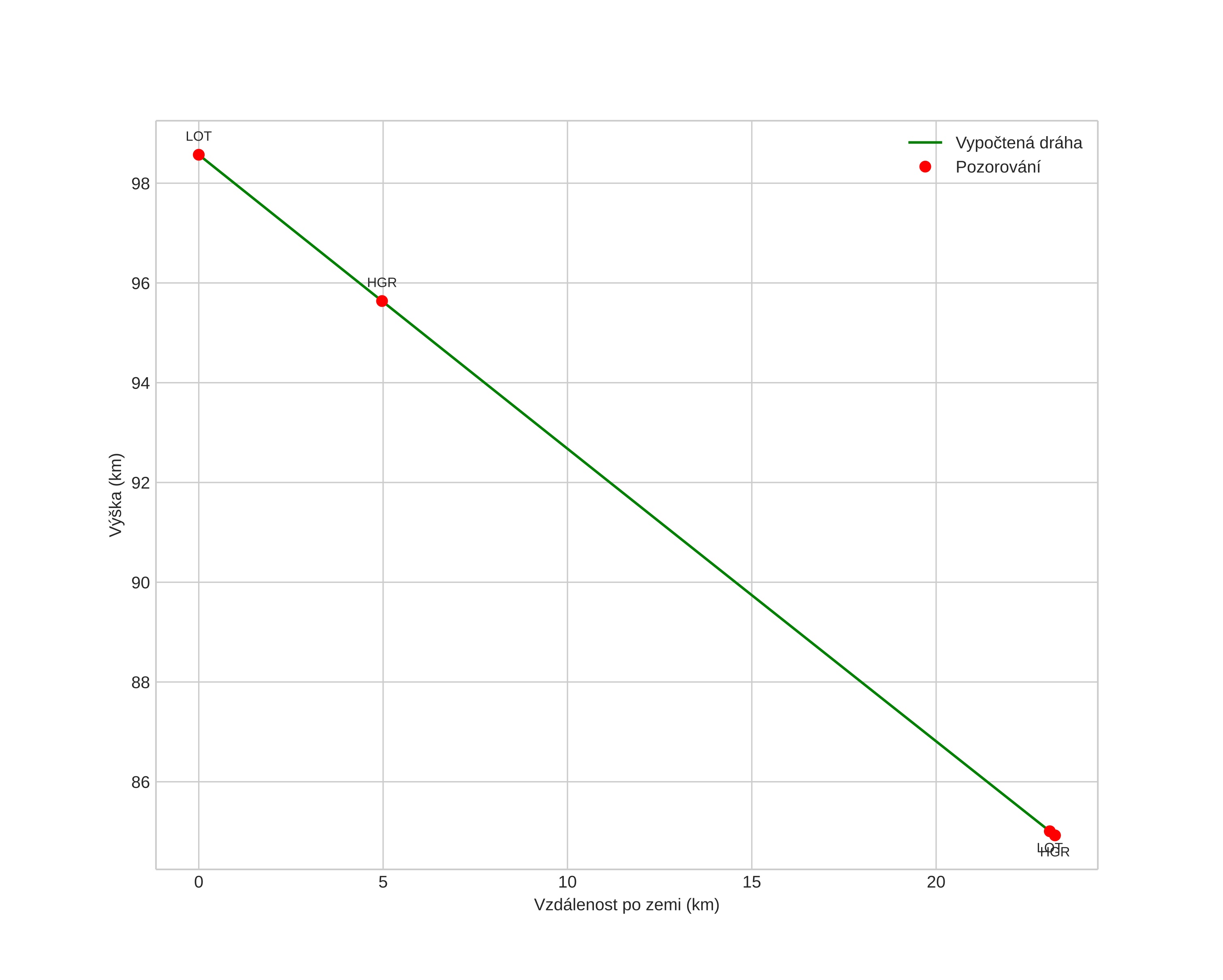
height profile
Atmosférická dráha meteoru:
Počáteční výška: 99,2 km
Konečná výška: 85,0 km
Počáteční poloha: 60,039N 11,050E
Konečná poloha: 60,042N 10,631E
Směr: 271,0°
Sklon: 31,4°
VstupnĂ­ rychlost: 32,5 km/s
Rektascenze radiantu: 02:59 (44,9°)
Deklinace radiantu: 24,7°
MeteorickĂ˝ roj: SevernĂ­ Tauridy
Elementy dráhy meteoroidu:
Vzdálenost v periheliu: 0,355 AU
Excentricita: 0,886
Sklon dráhy: 9,2°
Délka vzestupného uzlu: 218,5°
Argument perihelia: 291,6°
Střední anomálie: 352,7°
Epocha: 2024 OCT 31 18:41:49
orbit plot

NeinteraktivnĂ­ graf | InteraktivnĂ­ graf

position vs time
speed and acceleration