🇳🇴 🇬🇧 🇩🇪 🇨🇿 🇫🇮

Meteor über Sjølyststranda 2024-10-31 18:41:49 UTC

KML-Datei  |  Interaktive Karte

Die Karte zeigt die Peilungen für den Meteor. Die helleren Linien zeigen die Richtungen von den Beobachtungsorten beim Erscheinen des Meteors, und die dunkleren Linien, wo er zuletzt gesehen wurde. Der blaue Pfeil zeigt die sichtbare Bahn des Meteors.

static map
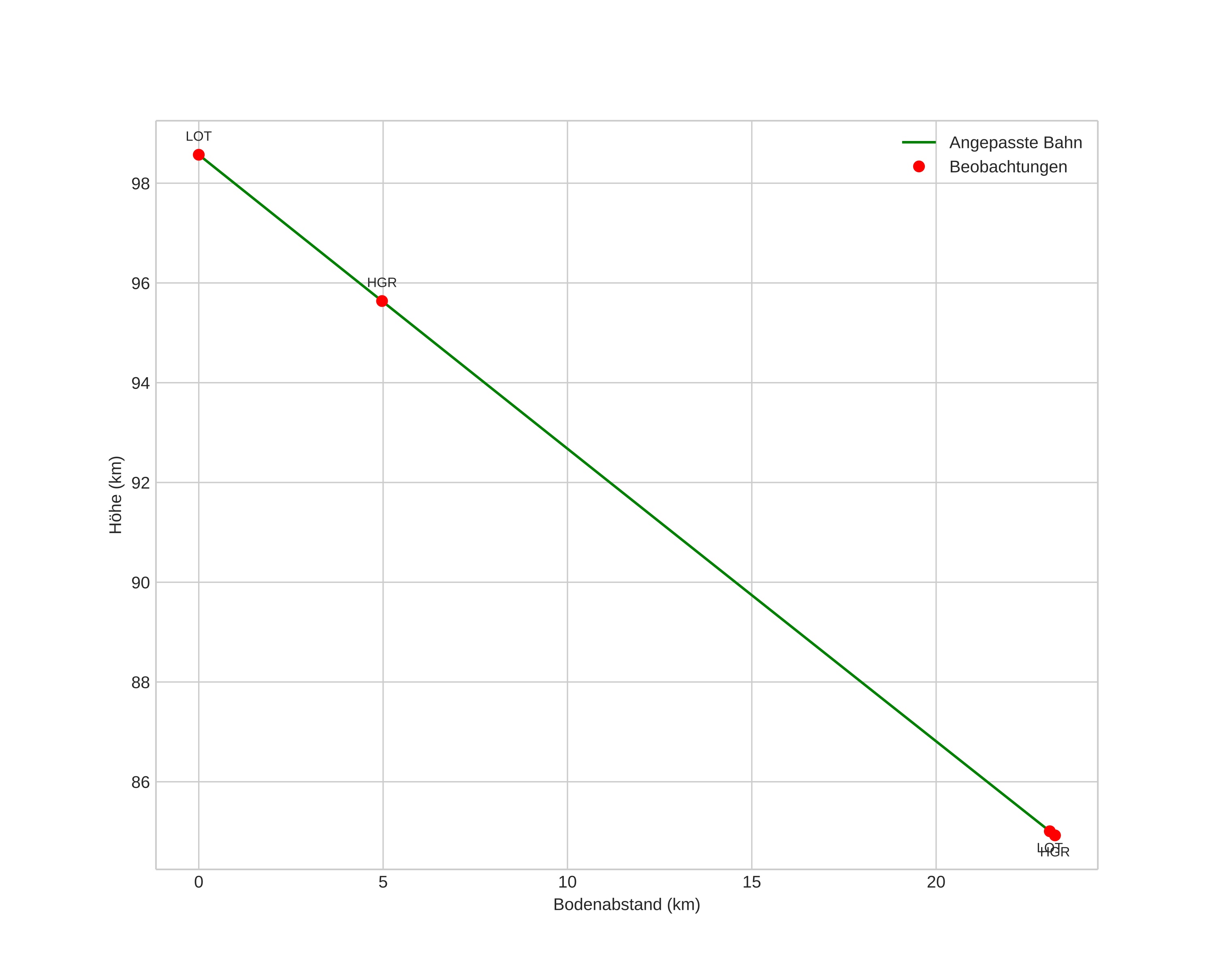
height profile
Atmosphärische Bahn des Meteors:
Anfangshöhe: 99,2 km
Endhöhe: 85,0 km
Startposition: 60,039N 11,050E
Endposition: 60,042N 10,631E
Richtung: 271,0°
Neigungswinkel: 31,4°
Eintrittsgeschwindigkeit: 32,5 km/s
Rektaszension des Radianten: 02:59 (44,9°)
Deklination des Radianten: 24,7°
Meteorstrom: Nördliche Tauriden
Bahnelemente des Meteoroiden:
Periheldistanz: 0,355 AU
Exzentrizität: 0,886
Inklination: 9,2°
Länge des aufsteigenden Knotens: 218,5°
Argument des Perihels: 291,6°
Mittlere Anomalie: 352,7°
Epoche: 2024 OCT 31 18:41:49
orbit plot

Nicht-interaktives Diagramm | Interaktives Diagramm

position vs time
speed and acceleration