🇳🇴 🇬🇧 🇩🇪 🇨🇿 🇫🇮

Meteor Sjølyststrandan yllä 2024-10-31 18:41:49 UTC

KML-tiedosto  |  Interaktiivinen kartta

Kartta näyttää meteorin suuntahavainnot. Vaaleammat viivat näyttävät suunnat havaintoasemilta meteorin ilmestyessä, ja tummemmat viivat näyttävät, missä se viimeksi nähtiin. Sininen nuoli näyttää meteorin näkyvän lennon.

static map
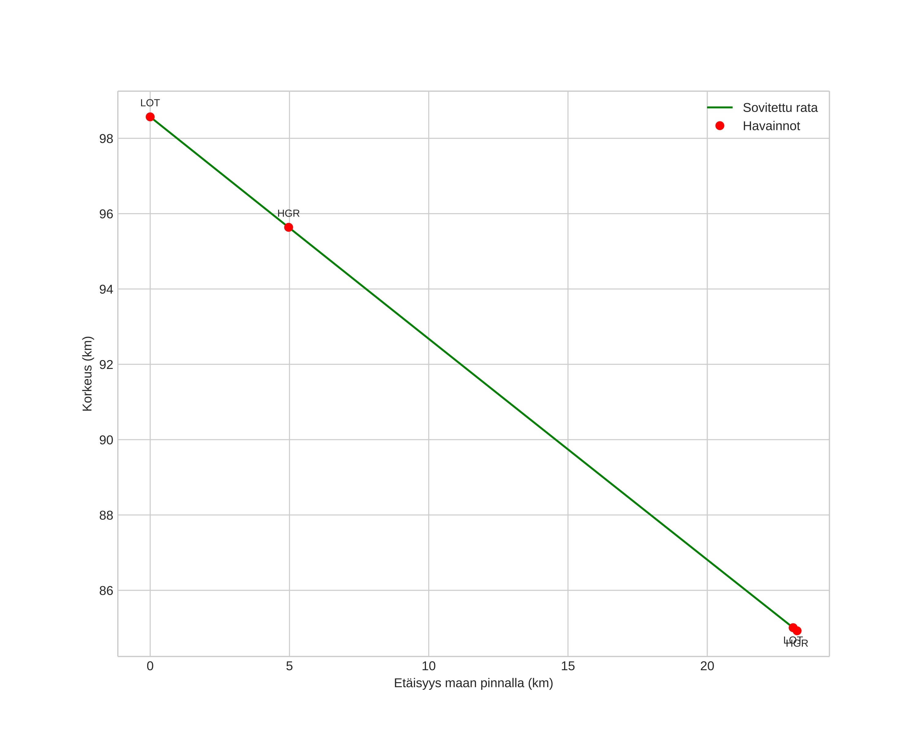
height profile
Meteorin ilmakehärata:
Alkukorkeus: 99,2 km
Loppukorkeus: 85,0 km
Alkupiste: 60,039N 11,050E
Loppupiste: 60,042N 10,631E
Suunta: 271,0°
Kallistuskulma: 31,4°
Tulonopeus: 32,5 km/s
Radiantin R,A,: 02:59 (44,9°)
Radiantin Dekl,: 24,7°
Meteoriparvi: Pohjoiset tauridit
Meteoroidin rataelementit:
Perihelietäisyys: 0,355 AU
Eksentrisyys: 0,886
Inklinaatio: 9,2°
Nousevan solmun pituus: 218,5°
Perihelin argumentti: 291,6°
Keskianomalia: 352,7°
Epookki: 2024 OCT 31 18:41:49
orbit plot

Ei-interaktiivinen kuvaaja | Interaktiivinen kuvaaja

position vs time
speed and acceleration