🇳🇴 🇬🇧 🇩🇪 🇨🇿 🇫🇮

Meteor, poloha: Skjeberg 2024-10-31 21:29:08 UTC

Soubor KML  |  InteraktivnĂ­ mapa

Mapa zobrazuje dráhy meteoru. Světlejší čáry ukazují směry od pozorovacích stanic při objevení se meteoru a tmavší čáry, kde byl naposledy viděn. Modrá šipka značí viditelnou dráhu meteoru.

static map
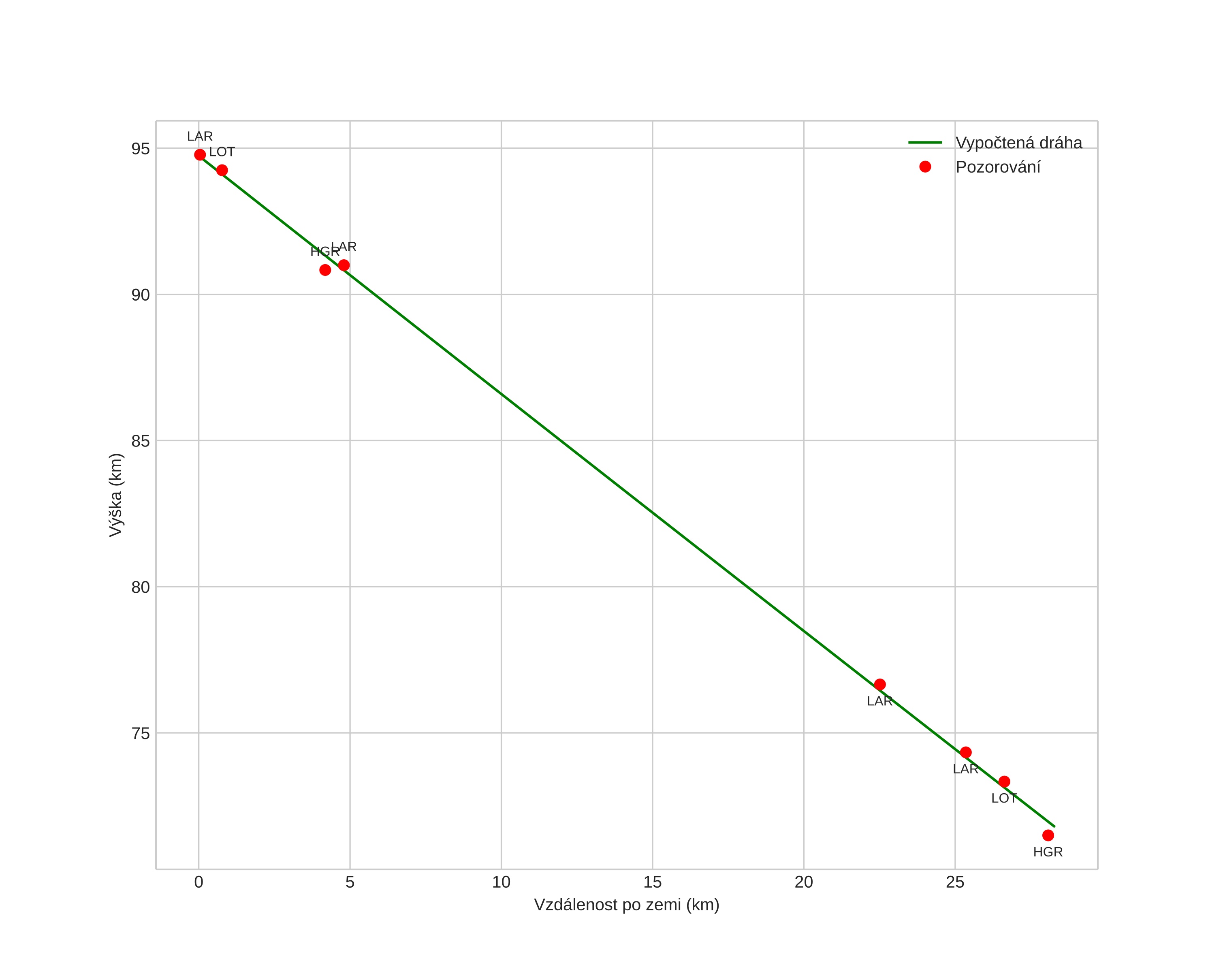
height profile
Atmosférická dráha meteoru:
Počáteční výška: 97,3 km
Konečná výška: 73,2 km
Počáteční poloha: 59,061N 11,669E
Konečná poloha: 59,261N 11,321E
Směr: 318,4°
Sklon: 39,0°
VstupnĂ­ rychlost: 28,4 km/s
Rektascenze radiantu: 03:06 (46,7°)
Deklinace radiantu: 11,7°
MeteorickĂ˝ roj: JiĹľnĂ­ Tauridy
Elementy dráhy meteoroidu:
Vzdálenost v periheliu: 0,421 AU
Excentricita: 0,798
Sklon dráhy: 5,6°
Délka vzestupného uzlu: 38,6°
Argument perihelia: 107,2°
Střední anomálie: 345,5°
Epocha: 2024 OCT 31 21:29:08
orbit plot

NeinteraktivnĂ­ graf | InteraktivnĂ­ graf

position vs time
speed and acceleration