🇳🇴 🇬🇧 🇩🇪 🇨🇿 🇫🇮

Meteor Skjebergin yllä 2024-10-31 21:29:08 UTC

KML-tiedosto  |  Interaktiivinen kartta

Kartta näyttää meteorin suuntahavainnot. Vaaleammat viivat näyttävät suunnat havaintoasemilta meteorin ilmestyessä, ja tummemmat viivat näyttävät, missä se viimeksi nähtiin. Sininen nuoli näyttää meteorin näkyvän lennon.

static map
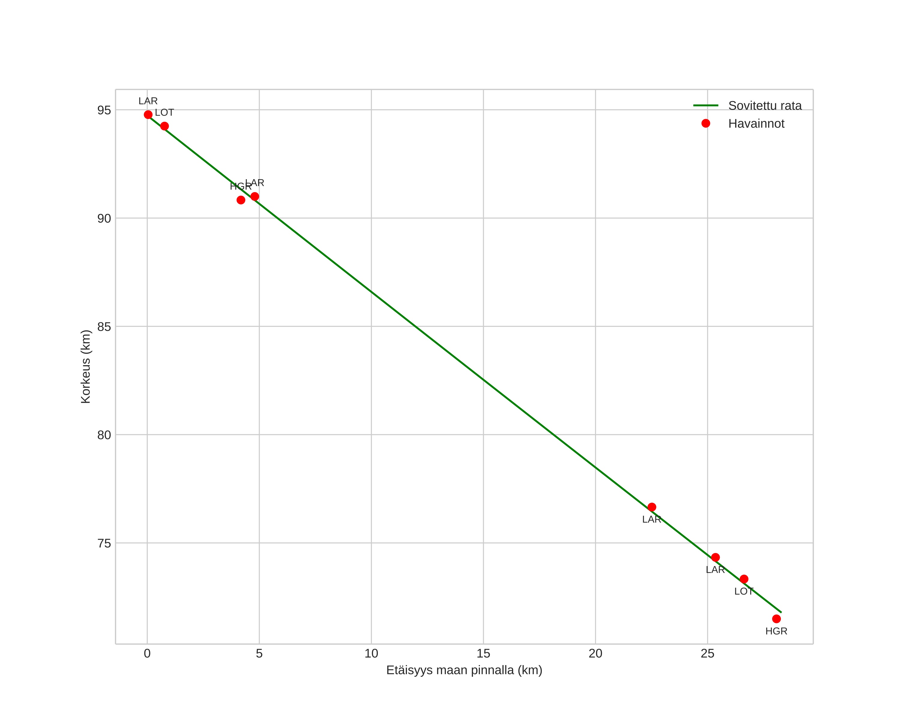
height profile
Meteorin ilmakehärata:
Alkukorkeus: 97,3 km
Loppukorkeus: 73,2 km
Alkupiste: 59,061N 11,669E
Loppupiste: 59,261N 11,321E
Suunta: 318,4°
Kallistuskulma: 39,0°
Tulonopeus: 28,4 km/s
Radiantin R,A,: 03:06 (46,7°)
Radiantin Dekl,: 11,7°
Meteoriparvi: Eteläiset tauridit
Meteoroidin rataelementit:
Perihelietäisyys: 0,421 AU
Eksentrisyys: 0,798
Inklinaatio: 5,6°
Nousevan solmun pituus: 38,6°
Perihelin argumentti: 107,2°
Keskianomalia: 345,5°
Epookki: 2024 OCT 31 21:29:08
orbit plot

Ei-interaktiivinen kuvaaja | Interaktiivinen kuvaaja

position vs time
speed and acceleration