🇳🇴 🇬🇧 🇩🇪 🇨🇿 🇫🇮

Meteor über Skjeberg 2024-10-31 21:29:08 UTC

KML-Datei  |  Interaktive Karte

Die Karte zeigt die Peilungen für den Meteor. Die helleren Linien zeigen die Richtungen von den Beobachtungsorten beim Erscheinen des Meteors, und die dunkleren Linien, wo er zuletzt gesehen wurde. Der blaue Pfeil zeigt die sichtbare Bahn des Meteors.

static map
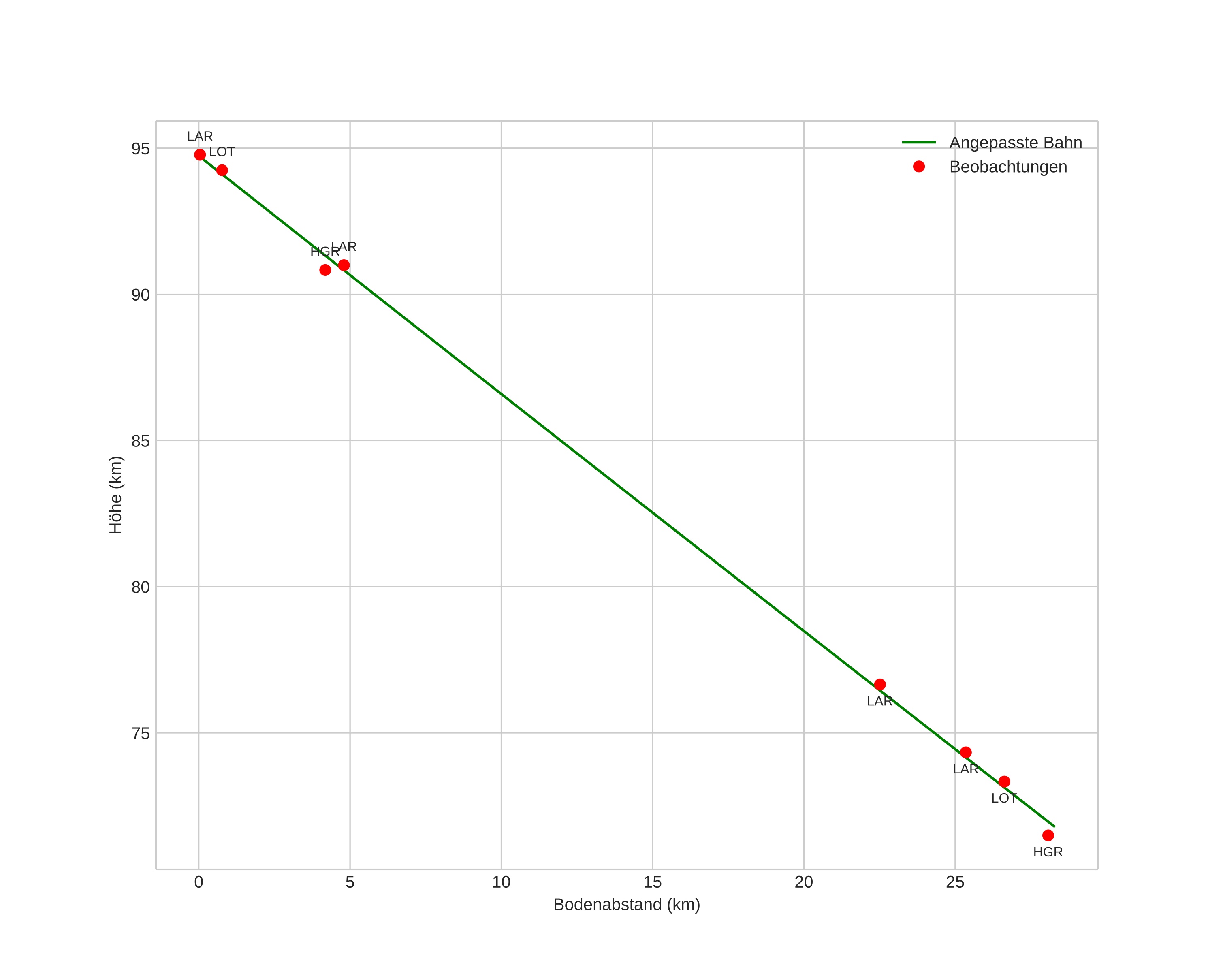
height profile
Atmosphärische Bahn des Meteors:
Anfangshöhe: 97,3 km
Endhöhe: 73,2 km
Startposition: 59,061N 11,669E
Endposition: 59,261N 11,321E
Richtung: 318,4°
Neigungswinkel: 39,0°
Eintrittsgeschwindigkeit: 28,4 km/s
Rektaszension des Radianten: 03:06 (46,7°)
Deklination des Radianten: 11,7°
Meteorstrom: Südliche Tauriden
Bahnelemente des Meteoroiden:
Periheldistanz: 0,421 AU
Exzentrizität: 0,798
Inklination: 5,6°
Länge des aufsteigenden Knotens: 38,6°
Argument des Perihels: 107,2°
Mittlere Anomalie: 345,5°
Epoche: 2024 OCT 31 21:29:08
orbit plot

Nicht-interaktives Diagramm | Interaktives Diagramm

position vs time
speed and acceleration