🇳🇴 🇬🇧 🇩🇪 🇨🇿 🇫🇮

Meteor, poloha: Finnsnes 2024-10-31 21:41:21 UTC

Soubor KML  |  InteraktivnĂ­ mapa

Mapa zobrazuje dráhy meteoru. Světlejší čáry ukazují směry od pozorovacích stanic při objevení se meteoru a tmavší čáry, kde byl naposledy viděn. Modrá šipka značí viditelnou dráhu meteoru.

static map
height profile
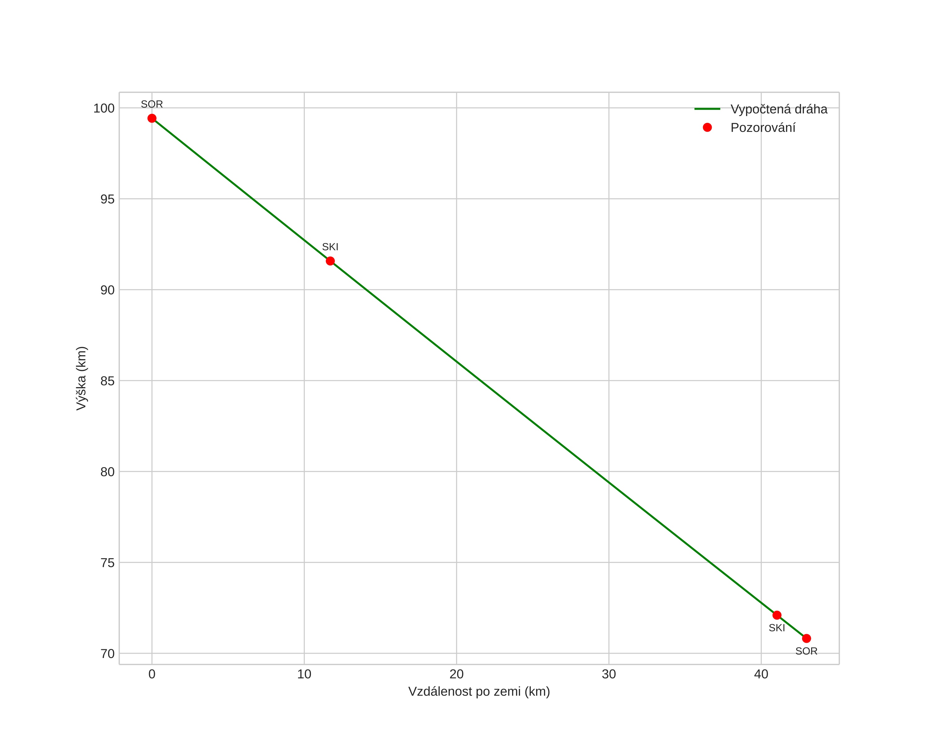
Atmosférická dráha meteoru:
Počáteční výška: 99,4 km
Konečná výška: 70,8 km
Počáteční poloha: 70,057N 18,137E
Konečná poloha: 70,382N 17,519E
Směr: 327,5°
Sklon: 33,7°
VstupnĂ­ rychlost: 32,6 km/s
Rektascenze radiantu: 03:26 (51,5°)
Deklinace radiantu: 14,4°
MeteorickĂ˝ roj: SevernĂ­ Tauridy
Elementy dráhy meteoroidu:
Vzdálenost v periheliu: 0,304 AU
Excentricita: 0,871
Sklon dráhy: 5,7°
Délka vzestupného uzlu: 38,6°
Argument perihelia: 119,3°
Střední anomálie: 349,0°
Epocha: 2024 OCT 31 21:41:21
orbit plot

NeinteraktivnĂ­ graf | InteraktivnĂ­ graf

position vs time
speed and acceleration