🇳🇴 🇬🇧 🇩🇪 🇨🇿 🇫🇮

Meteor Finnsnesin yllä 2024-10-31 21:41:21 UTC

KML-tiedosto  |  Interaktiivinen kartta

Kartta näyttää meteorin suuntahavainnot. Vaaleammat viivat näyttävät suunnat havaintoasemilta meteorin ilmestyessä, ja tummemmat viivat näyttävät, missä se viimeksi nähtiin. Sininen nuoli näyttää meteorin näkyvän lennon.

static map
height profile
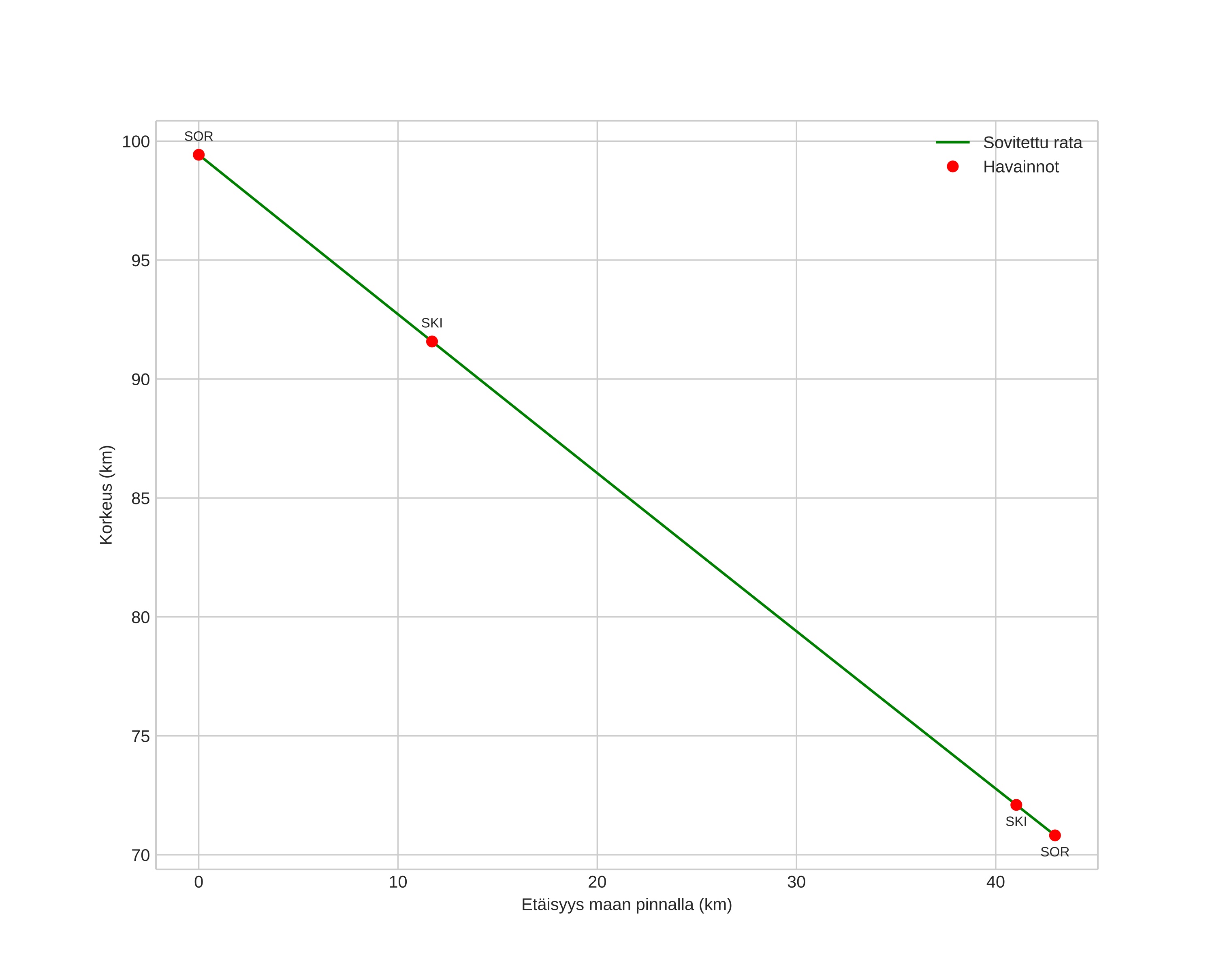
Meteorin ilmakehärata:
Alkukorkeus: 99,4 km
Loppukorkeus: 70,8 km
Alkupiste: 70,057N 18,137E
Loppupiste: 70,382N 17,519E
Suunta: 327,5°
Kallistuskulma: 33,7°
Tulonopeus: 32,6 km/s
Radiantin R,A,: 03:26 (51,5°)
Radiantin Dekl,: 14,4°
Meteoriparvi: Pohjoiset tauridit
Meteoroidin rataelementit:
Perihelietäisyys: 0,304 AU
Eksentrisyys: 0,871
Inklinaatio: 5,7°
Nousevan solmun pituus: 38,6°
Perihelin argumentti: 119,3°
Keskianomalia: 349,0°
Epookki: 2024 OCT 31 21:41:21
orbit plot

Ei-interaktiivinen kuvaaja | Interaktiivinen kuvaaja

position vs time
speed and acceleration