🇳🇴 🇬🇧 🇩🇪 🇨🇿 🇫🇮

Meteor über Finnsnes 2024-10-31 21:41:21 UTC

KML-Datei  |  Interaktive Karte

Die Karte zeigt die Peilungen für den Meteor. Die helleren Linien zeigen die Richtungen von den Beobachtungsorten beim Erscheinen des Meteors, und die dunkleren Linien, wo er zuletzt gesehen wurde. Der blaue Pfeil zeigt die sichtbare Bahn des Meteors.

static map
height profile
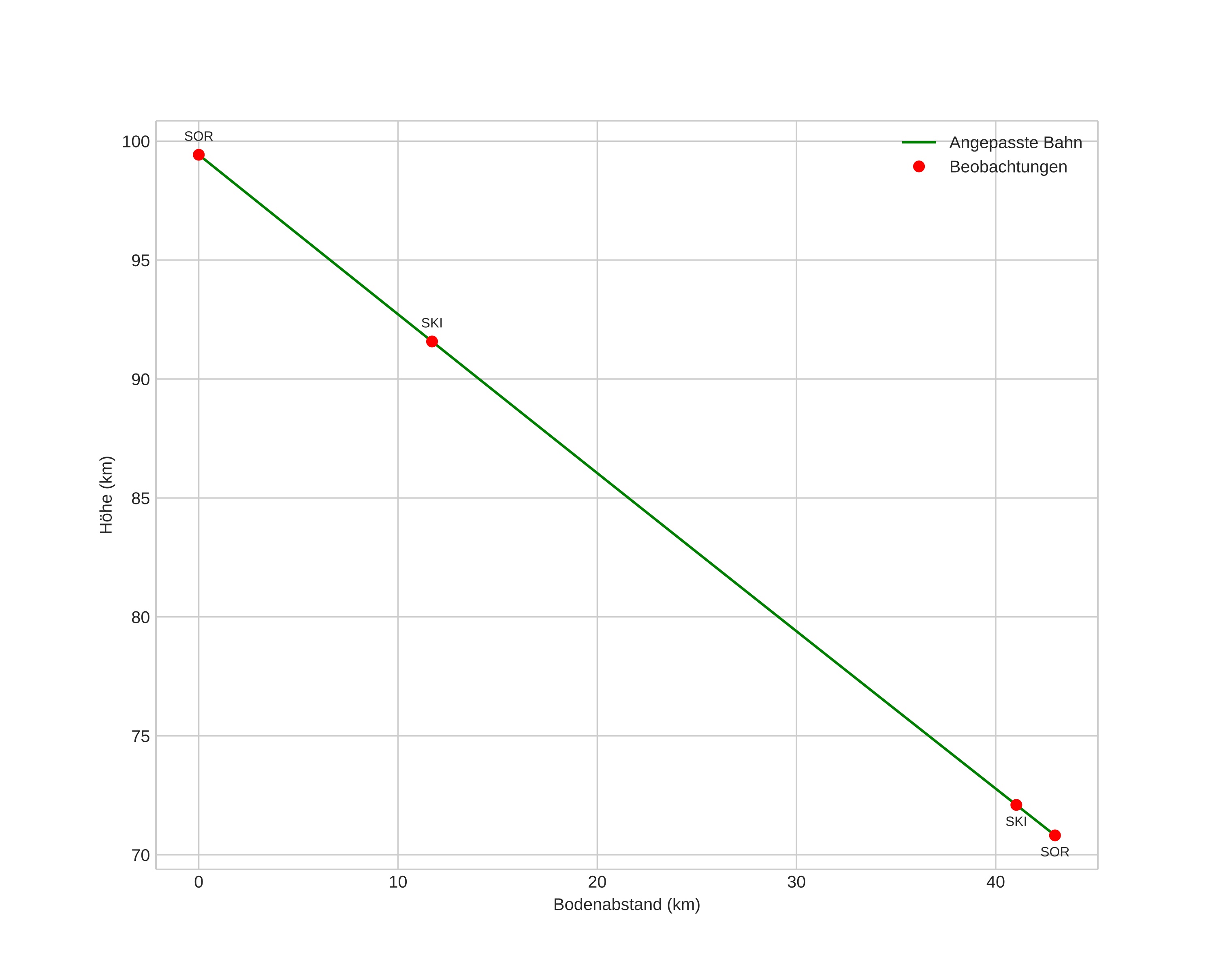
Atmosphärische Bahn des Meteors:
Anfangshöhe: 99,4 km
Endhöhe: 70,8 km
Startposition: 70,057N 18,137E
Endposition: 70,382N 17,519E
Richtung: 327,5°
Neigungswinkel: 33,7°
Eintrittsgeschwindigkeit: 32,6 km/s
Rektaszension des Radianten: 03:26 (51,5°)
Deklination des Radianten: 14,4°
Meteorstrom: Nördliche Tauriden
Bahnelemente des Meteoroiden:
Periheldistanz: 0,304 AU
Exzentrizität: 0,871
Inklination: 5,7°
Länge des aufsteigenden Knotens: 38,6°
Argument des Perihels: 119,3°
Mittlere Anomalie: 349,0°
Epoche: 2024 OCT 31 21:41:21
orbit plot

Nicht-interaktives Diagramm | Interaktives Diagramm

position vs time
speed and acceleration